Atmosférická dráha meteoru:
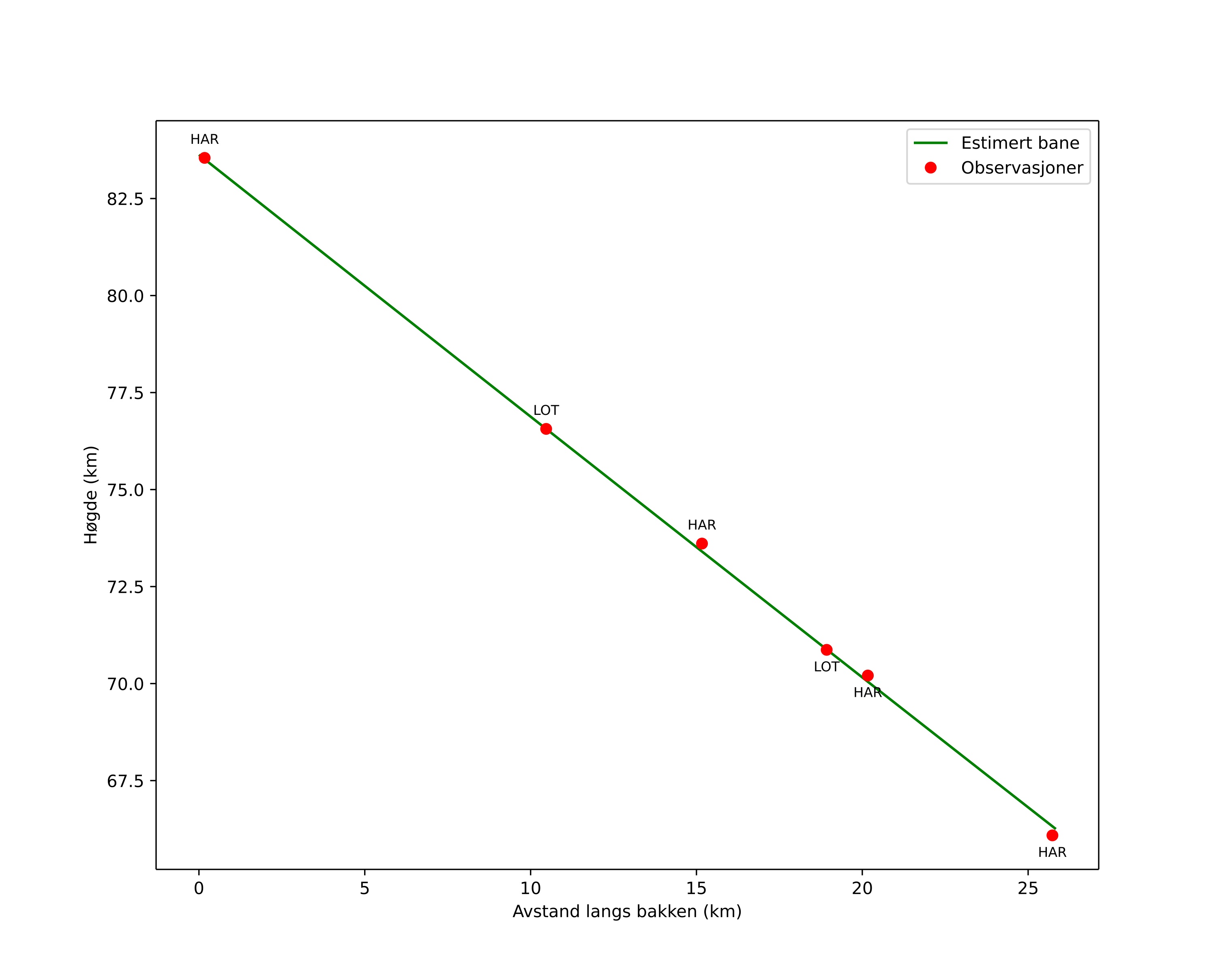
| Počátečnà výška: | 83,9 km |
| Konečná výška: | 66,3 km |
| Počátečnà poloha: | 60,686N 10,695E |
| Konečná poloha: | 60,779N 11,072E |
| Směr: | 62,9° |
| Sklon: | 37,5° |
| VstupnĂ rychlost: | 16,3 km/s |
| Rektascenze radiantu: | 23:03 (345,8°) |
| Deklinace radiantu: | 12,6° |
| MeteorickĂ˝ roj: | sporadickĂ˝ |
|
Elementy dráhy meteoroidu:
| Vzdálenost v periheliu: | 0,898 AU |
| Excentricita: | 0,627 |
| Sklon dráhy: | 5,7° |
| Délka vzestupného uzlu: | 203,5° |
| Argument perihelia: | 222,1° |
| Střednà anomálie: | 351,9° |
| Epocha: | 2025 OCT 17 00:13:42 |
|