🇳🇴 🇬🇧 🇩🇪 🇨🇿 🇫🇮

Meteor over Brumunddal 2025-10-17 17:51:41 UTC

KML-fil  |  Interaktivt kart

Kartet viser peilingene for meteoren. De lysere linjene viser retningene fra observasjonsstedene for meteorens tilsynekomst, og de mørkere linjene viser hvor den sist kunne sees. Den blå pila viser meteorens synlige ferd.

static map
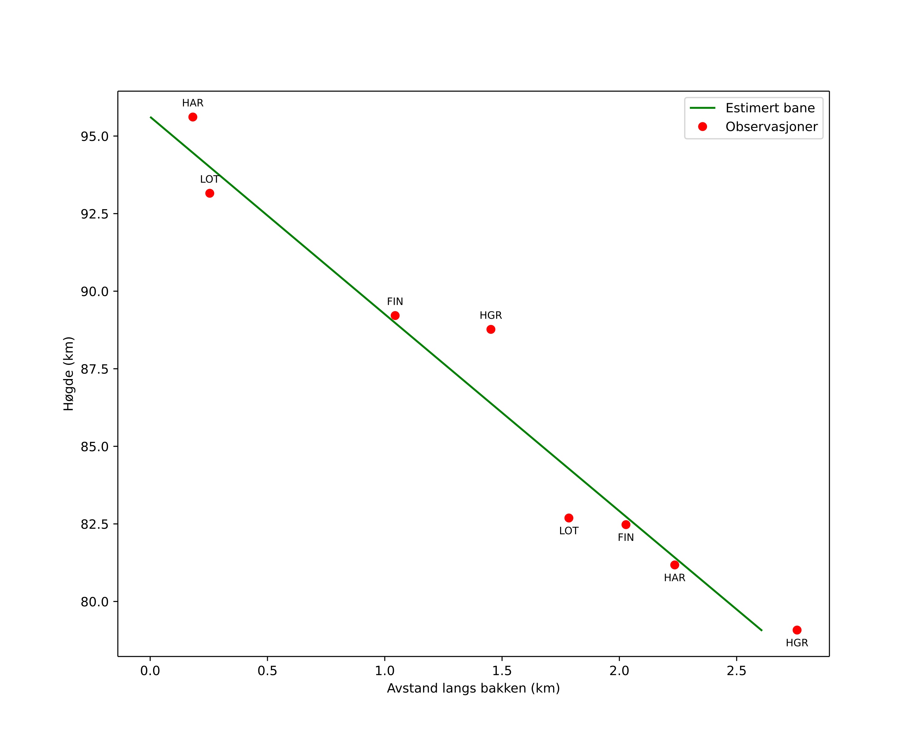
height profile
Meteorens atmosfæriske bane:
Starthøgde: 96,0 km
Slutthøgde: 79,0 km
Startposisjon: 60,930N 10,950E
Sluttposisjon: 60,905N 10,951E
Retning: 178,7°
Fallvinkel: 81,0°
Inngangshastighet: 30,9 km/s
Radiantens rektascensjon: 20:13 (303,4°)
Radiantens deklinasjon: 70,0°
Meteorsverm: sporadisk
Meteoroidens baneelement:
Perihelavstand: 0,968 AU
Eksentrisitet: 0,899
Inklinasjon: 44,0°
Knutelengde: 204,3°
Perihelargument: 200,0°
Midlere anomali: 359,5°
Epoke: 2025 OCT 17 17:51:41
orbit plot

Ikke-interaktivt plott | Interaktivt plott

position vs time
speed and acceleration

Finnskogen (FIN) cam5


gnomonic
Videoer
• Gnomonisk
• Gnomonisk med koordinater
• Original
• Original med koordinater
Bilder
• Gnomonisk
• Gnomonisk med koordinater
• Original
• Original med koordinater
Tekstfiler
• Deteksjon
• Observasjon
• Koordinater
• Logg
Lysstyrke

Hagar (HGR) cam7


gnomonic
Videoer
• Gnomonisk
• Gnomonisk med koordinater
• Original
• Original med koordinater
Bilder
• Gnomonisk
• Gnomonisk med koordinater
• Original
• Original med koordinater
Tekstfiler
• Deteksjon
• Observasjon
• Koordinater
• Logg
Lysstyrke

Harestua (HAR) cam6


gnomonic
Videoer
• Gnomonisk
• Gnomonisk med koordinater
• Original
• Original med koordinater
Bilder
• Gnomonisk
• Gnomonisk med koordinater
• Original
• Original med koordinater
Tekstfiler
• Deteksjon
• Observasjon
• Koordinater
• Logg
Lysstyrke

Loten (LOT) cam6


gnomonic
Videoer
• Gnomonisk
• Gnomonisk med koordinater
• Original
• Original med koordinater
Bilder
• Gnomonisk
• Gnomonisk med koordinater
• Original
• Original med koordinater
Tekstfiler
• Deteksjon
• Observasjon
• Koordinater
• Logg
Lysstyrke