🇳🇴 🇬🇧 🇩🇪 🇨🇿 🇫🇮

Meteor over Neskollen 2025-10-17 18:20:08 UTC

KML-fil  |  Interaktivt kart

Kartet viser peilingene for meteoren. De lysere linjene viser retningene fra observasjonsstedene for meteorens tilsynekomst, og de mørkere linjene viser hvor den sist kunne sees. Den blå pila viser meteorens synlige ferd.

static map
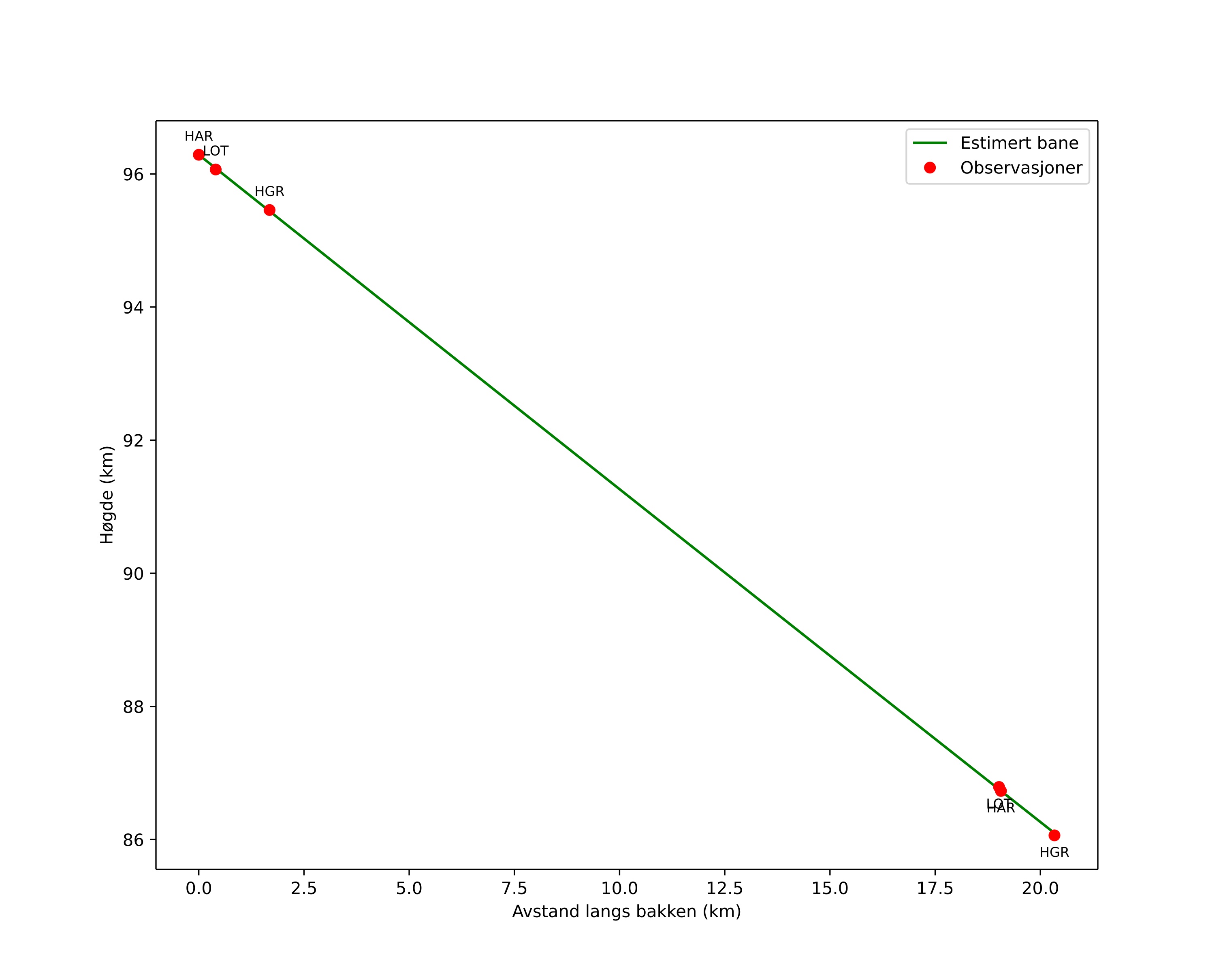
height profile
Meteorens atmosfæriske bane:
Starthøgde: 97,4 km
Slutthøgde: 85,9 km
Startposisjon: 60,097N 11,703E
Sluttposisjon: 60,104N 11,284E
Retning: 272,1°
Fallvinkel: 26,4°
Inngangshastighet: 30,4 km/s
Radiantens rektascensjon: 01:53 (28,5°)
Radiantens deklinasjon: 19,4°
Meteorsverm: sporadisk
Meteoroidens baneelement:
Perihelavstand: 0,402 AU
Eksentrisitet: 0,848
Inklinasjon: 7,9°
Knutelengde: 204,3°
Perihelargument: 287,4°
Midlere anomali: 350,3°
Epoke: 2025 OCT 17 18:20:08
orbit plot

Ikke-interaktivt plott | Interaktivt plott

position vs time
speed and acceleration

Hagar (HGR) cam6


gnomonic
Videoer
• Gnomonisk
• Gnomonisk med koordinater
• Original
• Original med koordinater
Bilder
• Gnomonisk
• Gnomonisk med koordinater
• Original
• Original med koordinater
Tekstfiler
• Deteksjon
• Observasjon
• Koordinater
• Logg
Lysstyrke

Harestua (HAR) cam7


gnomonic
Videoer
• Gnomonisk
• Gnomonisk med koordinater
• Original
• Original med koordinater
Bilder
• Gnomonisk
• Gnomonisk med koordinater
• Original
• Original med koordinater
Tekstfiler
• Deteksjon
• Observasjon
• Koordinater
• Logg
Lysstyrke

Loten (LOT) cam7


gnomonic
Videoer
• Gnomonisk
• Gnomonisk med koordinater
• Original
• Original med koordinater
Bilder
• Gnomonisk
• Gnomonisk med koordinater
• Original
• Original med koordinater
Tekstfiler
• Deteksjon
• Observasjon
• Koordinater
• Logg
Lysstyrke