🇳🇴 🇬🇧 🇩🇪 🇨🇿 🇫🇮

Meteor over Ed 2025-10-17 20:58:44 UTC

KML-fil  |  Interaktivt kart

Kartet viser peilingene for meteoren. De lysere linjene viser retningene fra observasjonsstedene for meteorens tilsynekomst, og de mørkere linjene viser hvor den sist kunne sees. Den blå pila viser meteorens synlige ferd.

static map
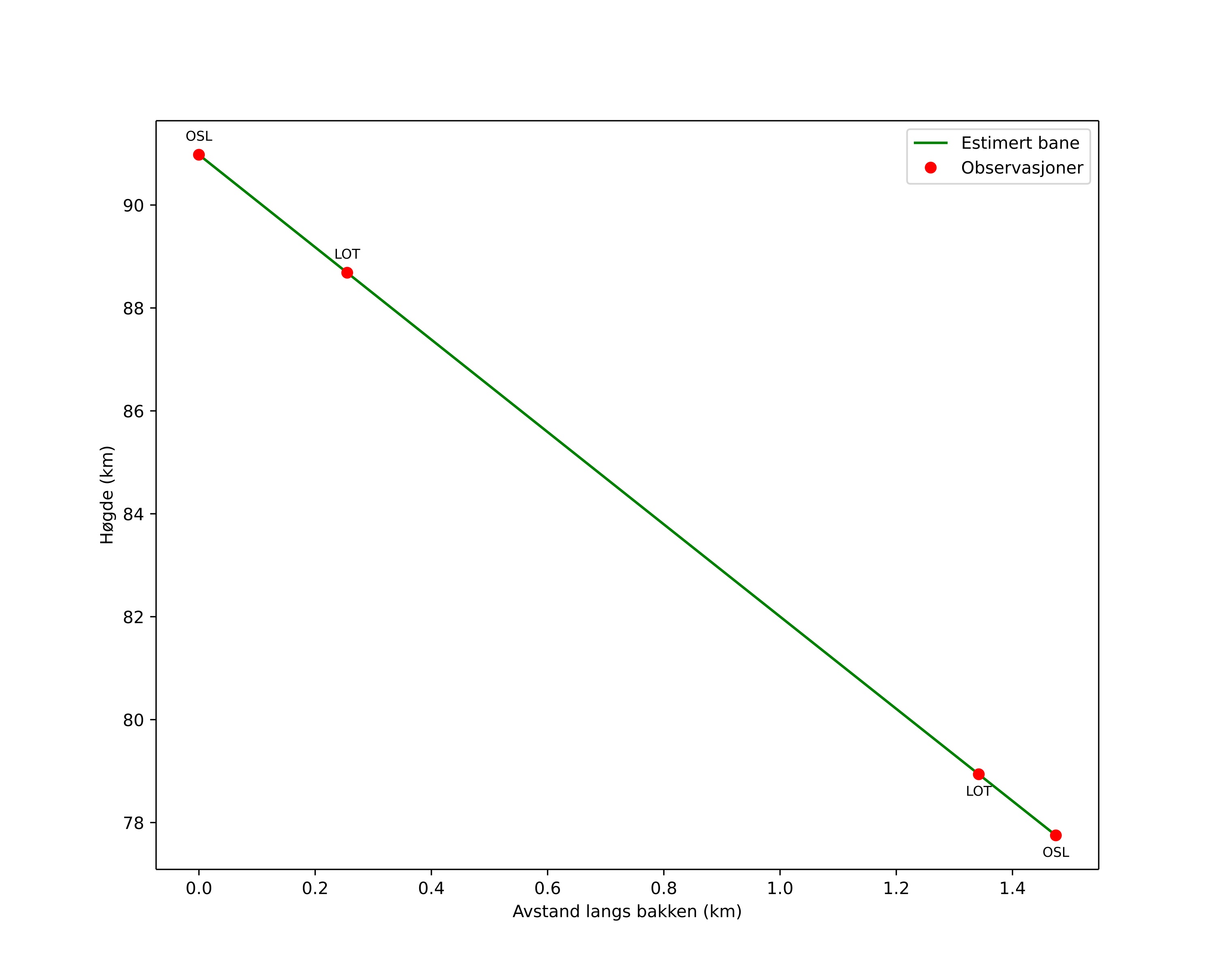
height profile
Meteorens atmosfæriske bane:
Starthøgde: 92,1 km
Slutthøgde: 77,7 km
Startposisjon: 59,038N 11,795E
Sluttposisjon: 59,036N 11,822E
Retning: 97,1°
Fallvinkel: 83,7°
Inngangshastighet: 28,4 km/s
Radiantens rektascensjon: 22:36 (339,1°)
Radiantens deklinasjon: 58,8°
Meteorsverm: sporadisk
Meteoroidens baneelement:
Perihelavstand: 0,874 AU
Eksentrisitet: 0,880
Inklinasjon: 35,9°
Knutelengde: 204,4°
Perihelargument: 222,6°
Midlere anomali: 358,6°
Epoke: 2025 OCT 17 20:58:44
orbit plot

Ikke-interaktivt plott | Interaktivt plott

position vs time
speed and acceleration

Loten (LOT) cam3


gnomonic
Videoer
• Gnomonisk
• Gnomonisk med koordinater
• Original
• Original med koordinater
Bilder
• Gnomonisk
• Gnomonisk med koordinater
• Original
• Original med koordinater
Tekstfiler
• Deteksjon
• Observasjon
• Koordinater
• Logg
Lysstyrke

Voksenlia (OSL) cam6


gnomonic
Videoer
• Gnomonisk
• Gnomonisk med koordinater
• Original
• Original med koordinater
Bilder
• Gnomonisk
• Gnomonisk med koordinater
• Original
• Original med koordinater
Tekstfiler
• Deteksjon
• Observasjon
• Koordinater
• Logg
Lysstyrke