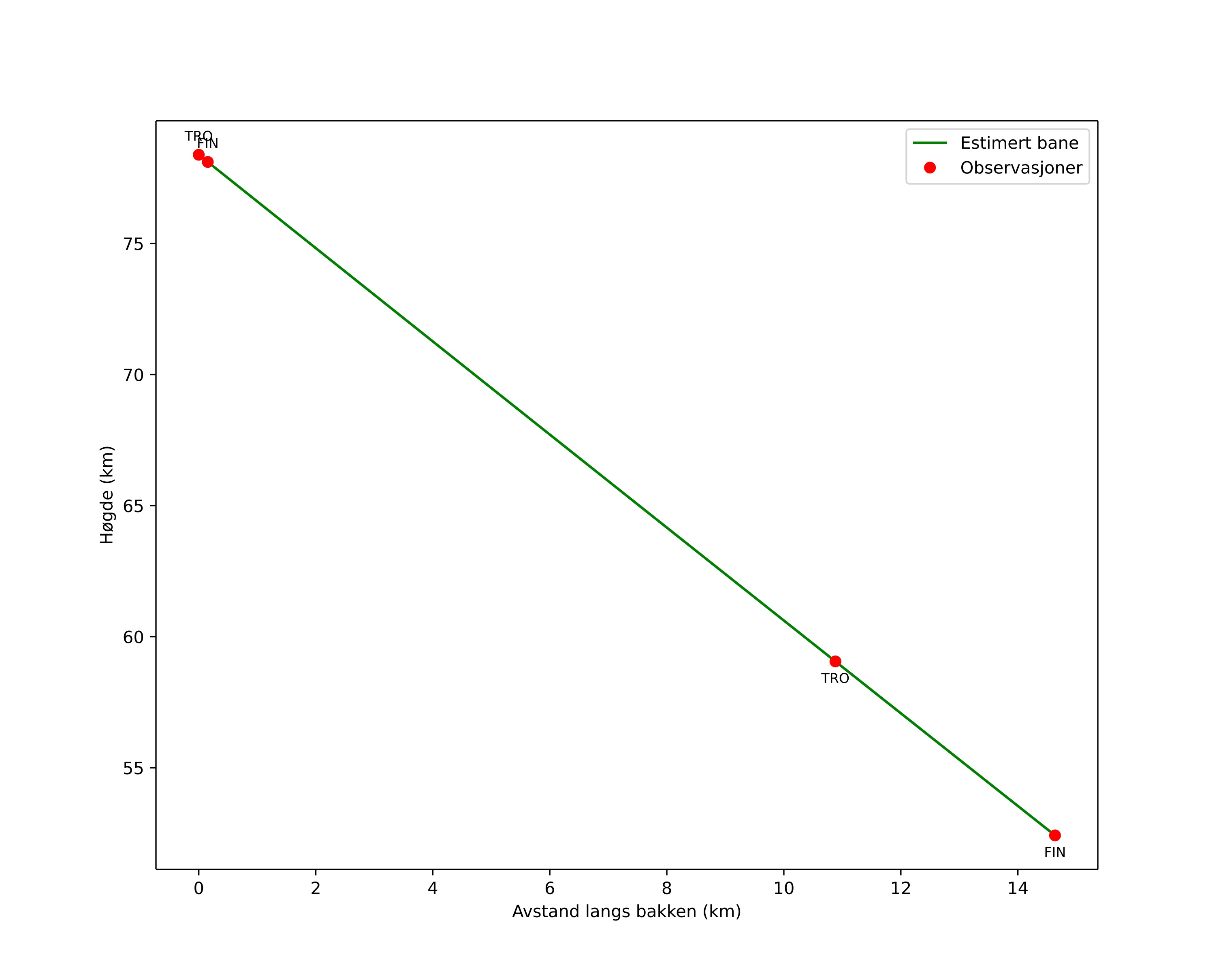
Atmosphärische Bahn des Meteors:
| Anfangshöhe: | 78,3 km |
| Endhöhe: | 52,3 km |
| Startposition: | 63,068N 9,439E |
| Endposition: | 62,983N 9,675E |
| Richtung: | 128,2° |
| Neigungswinkel: | 59,8° |
| Eintrittsgeschwindigkeit: | 24,1 km/s |
| Rektaszension des Radianten: | 20:22 (305,5°) |
| Deklination des Radianten: | 64,1° |
| Meteorstrom: | sporadisch |
|
Bahnelemente des Meteoroiden:
| Periheldistanz: | 0,968 AU |
| Exzentrizität: | 0,646 |
| Inklination: | 33,3° |
| Länge des aufsteigenden Knotens: | 204,5° |
| Argument des Perihels: | 202,0° |
| Mittlere Anomalie: | 356,3° |
| Epoche: | 2025 OCT 17 23:08:57 |
|