🇳🇴 🇬🇧 🇩🇪 🇨🇿 🇫🇮

Meteor over Dals LÃ¥nged 2025-10-18 02:15:47 UTC

KML-fil  |  Interaktivt kart

Kartet viser peilingene for meteoren. De lysere linjene viser retningene fra observasjonsstedene for meteorens tilsynekomst, og de mørkere linjene viser hvor den sist kunne sees. Den blå pila viser meteorens synlige ferd.

static map
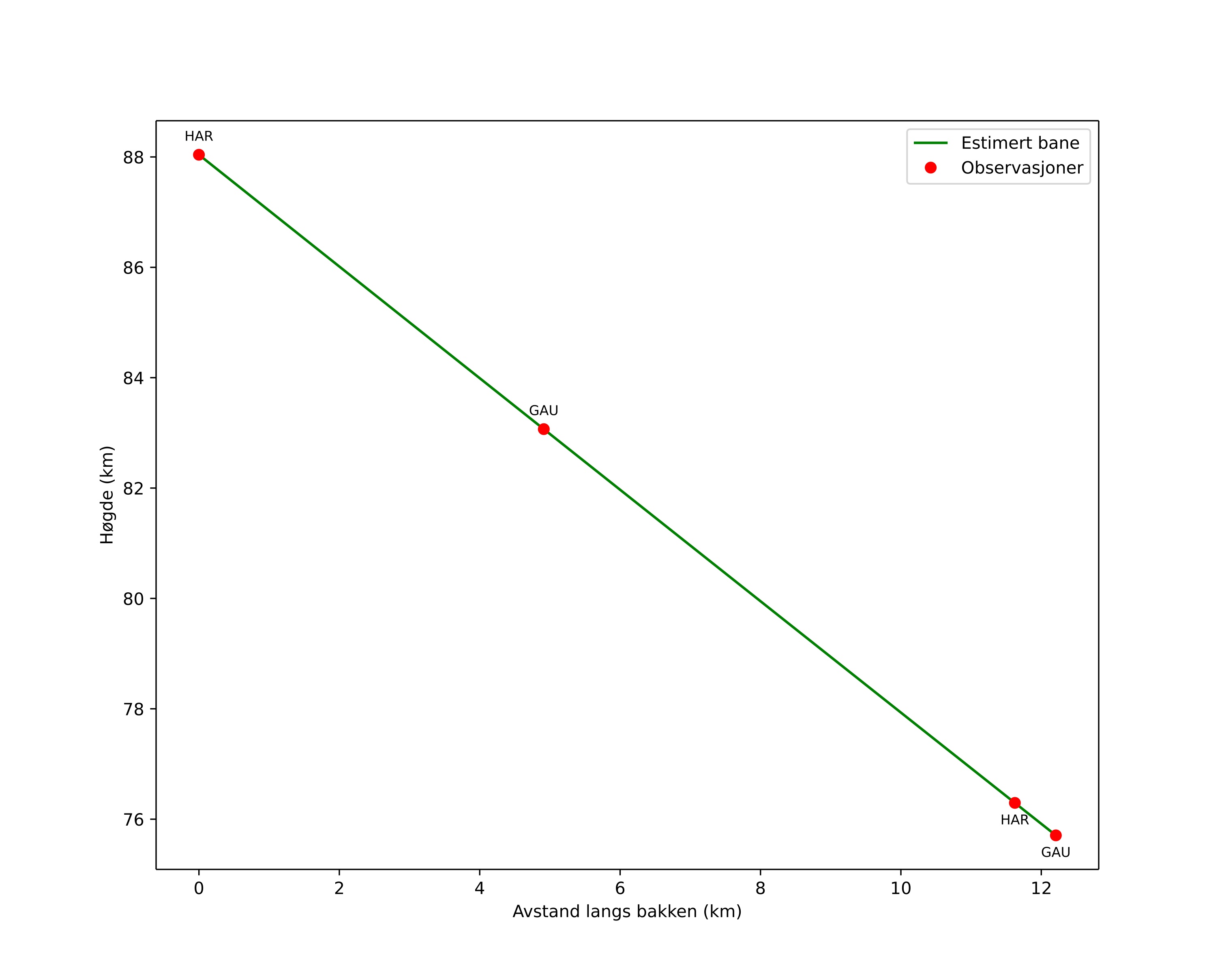
height profile
Meteorens atmosfæriske bane:
Starthøgde: 89,0 km
Slutthøgde: 75,5 km
Startposisjon: 58,750N 12,275E
Sluttposisjon: 58,844N 12,421E
Retning: 39,0°
Fallvinkel: 45,3°
Inngangshastighet: 39,3 km/s
Radiantens rektascensjon: 02:56 (44,1°)
Radiantens deklinasjon: 17,8°
Meteorsverm: sporadisk
Meteoroidens baneelement:
Perihelavstand: 0,139 AU
Eksentrisitet: 0,956
Inklinasjon: 2,3°
Knutelengde: 204,6°
Perihelargument: 319,5°
Midlere anomali: 354,1°
Epoke: 2025 OCT 18 02:15:47
orbit plot

Ikke-interaktivt plott | Interaktivt plott

position vs time
speed and acceleration

Gaustatoppen (GAU) cam3


gnomonic
Videoer
• Gnomonisk
• Gnomonisk med koordinater
• Original
• Original med koordinater
Bilder
• Gnomonisk
• Gnomonisk med koordinater
• Original
• Original med koordinater
Tekstfiler
• Deteksjon
• Observasjon
• Koordinater
• Logg
Lysstyrke

Harestua (HAR) cam3


gnomonic
Videoer
• Gnomonisk
• Gnomonisk med koordinater
• Original
• Original med koordinater
Bilder
• Gnomonisk
• Gnomonisk med koordinater
• Original
• Original med koordinater
Tekstfiler
• Deteksjon
• Observasjon
• Koordinater
• Logg
Lysstyrke