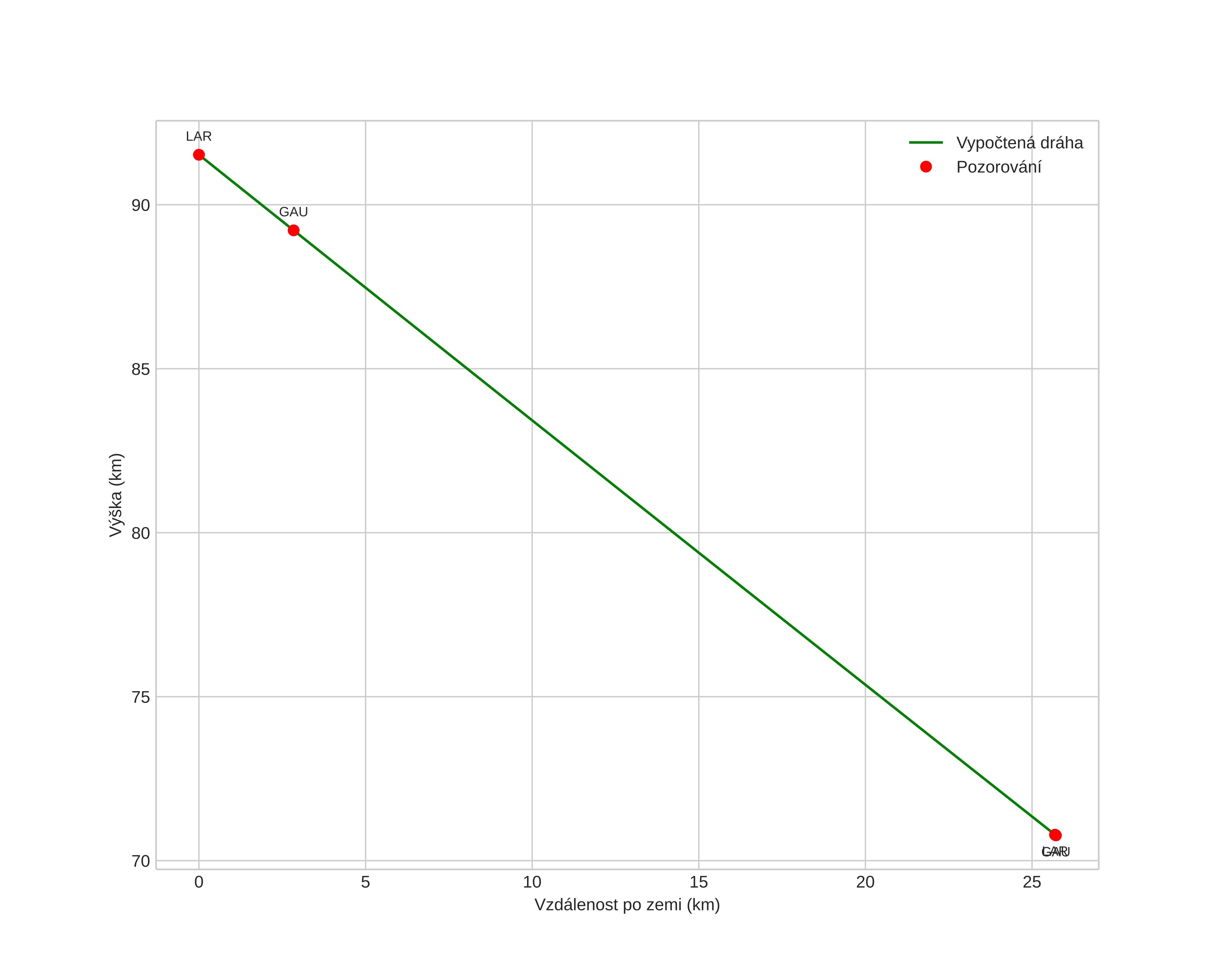
Atmosférická dráha meteoru:
| Počátečnà výška: | 91,3 km |
| Konečná výška: | 70,6 km |
| Počátečnà poloha: | 57,330N 12,742E |
| Konečná poloha: | 57,489N 13,062E |
| Směr: | 47,2° |
| Sklon: | 38,5° |
| VstupnĂ rychlost: | 36,3 km/s |
| Rektascenze radiantu: | 03:01 (45,3°) |
| Deklinace radiantu: | 12,3° |
| MeteorickĂ˝ roj: | sporadickĂ˝ |
|
Elementy dráhy meteoroidu:
| Vzdálenost v periheliu: | 0,174 AU |
| Excentricita: | 0,918 |
| Sklon dráhy: | 9,4° |
| Délka vzestupného uzlu: | 24,6° |
| Argument perihelia: | 136,4° |
| Střednà anomálie: | 348,2° |
| Epocha: | 2025 OCT 18 02:52:57 |
|