🇳🇴 🇬🇧 🇩🇪 🇨🇿 🇫🇮

Meteor über Måløy 2025-10-18 03:04:23 UTC

KML-Datei  |  Interaktive Karte

Die Karte zeigt die Peilungen für den Meteor. Die helleren Linien zeigen die Richtungen von den Beobachtungsorten beim Erscheinen des Meteors, und die dunkleren Linien, wo er zuletzt gesehen wurde. Der blaue Pfeil zeigt die sichtbare Bahn des Meteors.

static map
height profile
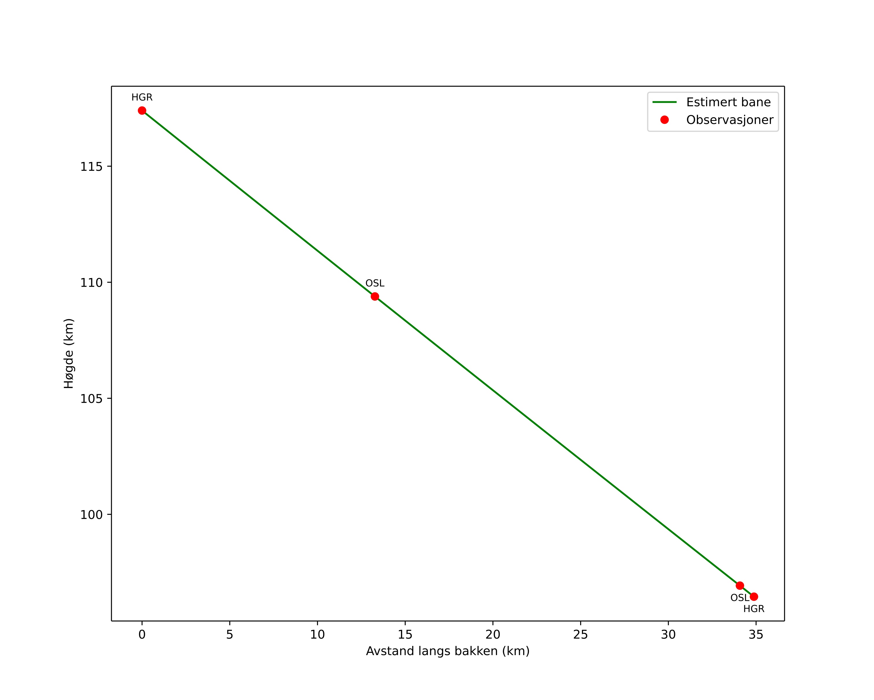
Atmosphärische Bahn des Meteors:
Anfangshöhe: 114,0 km
Endhöhe: 96,5 km
Startposition: 62,751N 4,654E
Endposition: 62,922N 4,347E
Richtung: 320,9°
Neigungswinkel: 35,4°
Eintrittsgeschwindigkeit: 67,4 km/s
Rektaszension des Radianten: 07:15 (108,9°)
Deklination des Radianten: 12,6°
Meteorstrom: sporadisch
Bahnelemente des Meteoroiden:
Periheldistanz: 0,948 AU
Exzentrizität: 0,611
Inklination: 162,5°
Länge des aufsteigenden Knotens: 24,6°
Argument des Perihels: 29,3°
Mittlere Anomalie: 354,2°
Epoche: 2025 OCT 18 03:04:23
orbit plot

Nicht-interaktives Diagramm | Interaktives Diagramm

position vs time
speed and acceleration

Hagar (HGR) cam1


gnomonic
Videos
• Gnomonisch
• Gnomonisch mit Koordinaten
• Original
• Original mit Koordinaten
Bilder
• Gnomonisch
• Gnomonisch mit Koordinaten
• Original
• Original mit Koordinaten
Textdateien
• Erkennung
• Beobachtung
• Koordinaten
• Protokoll
Helligkeit

Voksenlia (OSL) cam2


gnomonic
Videos
• Gnomonisch
• Gnomonisch mit Koordinaten
• Original
• Original mit Koordinaten
Bilder
• Gnomonisch
• Gnomonisch mit Koordinaten
• Original
• Original mit Koordinaten
Textdateien
• Erkennung
• Beobachtung
• Koordinaten
• Protokoll
Helligkeit