🇳🇴 🇬🇧 🇩🇪 🇨🇿 🇫🇮

Meteor over Jaren 2025-10-18 23:10:15 UTC

KML-fil  |  Interaktivt kart

Kartet viser peilingene for meteoren. De lysere linjene viser retningene fra observasjonsstedene for meteorens tilsynekomst, og de mørkere linjene viser hvor den sist kunne sees. Den blå pila viser meteorens synlige ferd.

static map
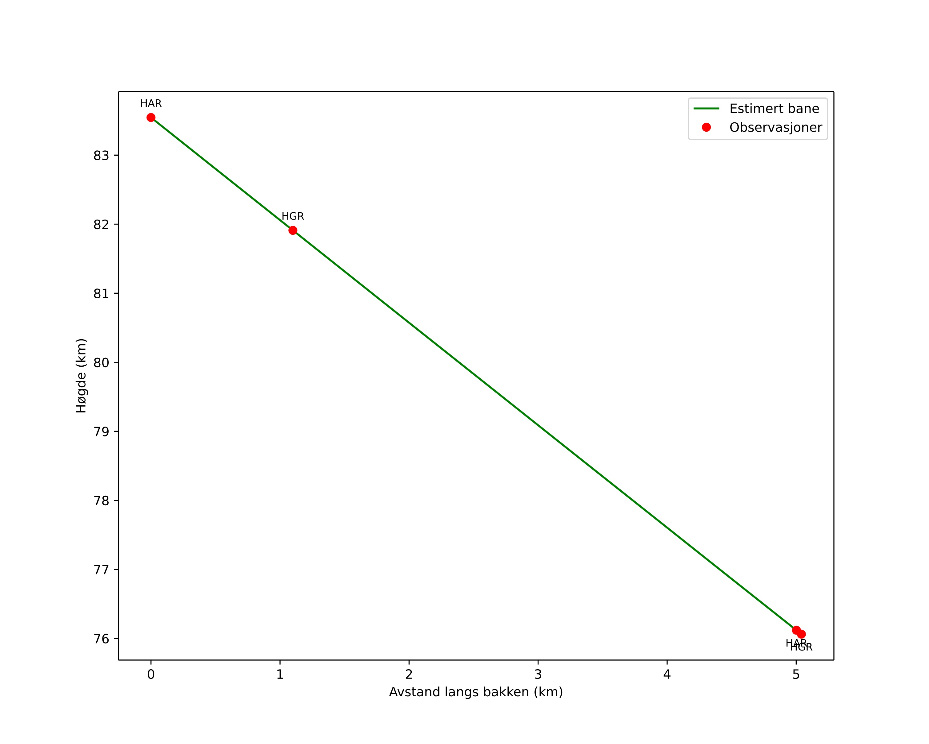
height profile
Meteorens atmosfæriske bane:
Starthøgde: 84,0 km
Slutthøgde: 76,1 km
Startposisjon: 60,436N 10,533E
Sluttposisjon: 60,422N 10,627E
Retning: 107,0°
Fallvinkel: 55,9°
Inngangshastighet: 21,1 km/s
Radiantens rektascensjon: 21:12 (318,0°)
Radiantens deklinasjon: 50,7°
Meteorsverm: sporadisk
Meteoroidens baneelement:
Perihelavstand: 0,952 AU
Eksentrisitet: 0,724
Inklinasjon: 24,5°
Knutelengde: 205,5°
Perihelargument: 206,5°
Midlere anomali: 357,0°
Epoke: 2025 OCT 18 23:10:15
orbit plot

Ikke-interaktivt plott | Interaktivt plott

position vs time
speed and acceleration

Hagar (HGR) cam6


gnomonic
Videoer
• Gnomonisk
• Gnomonisk med koordinater
• Original
• Original med koordinater
Bilder
• Gnomonisk
• Gnomonisk med koordinater
• Original
• Original med koordinater
Tekstfiler
• Deteksjon
• Observasjon
• Koordinater
• Logg
Lysstyrke

Harestua (HAR) cam6


gnomonic
Videoer
• Gnomonisk
• Gnomonisk med koordinater
• Original
• Original med koordinater
Bilder
• Gnomonisk
• Gnomonisk med koordinater
• Original
• Original med koordinater
Tekstfiler
• Deteksjon
• Observasjon
• Koordinater
• Logg
Lysstyrke