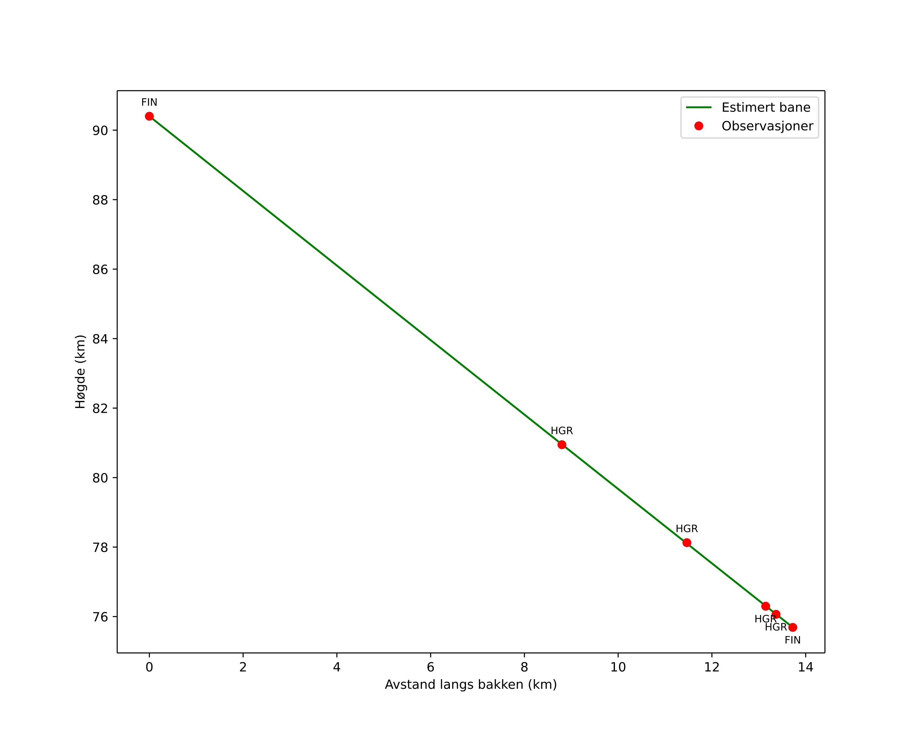
Atmosférická dráha meteoru:
| Počátečnà výška: | 90,5 km |
| Konečná výška: | 75,5 km |
| Počátečnà poloha: | 61,245N 11,877E |
| Konečná poloha: | 61,293N 12,119E |
| Směr: | 67,1° |
| Sklon: | 47,0° |
| VstupnĂ rychlost: | 18,8 km/s |
| Rektascenze radiantu: | 23:02 (345,6°) |
| Deklinace radiantu: | 26,3° |
| MeteorickĂ˝ roj: | sporadickĂ˝ |
|
Elementy dráhy meteoroidu:
| Vzdálenost v periheliu: | 0,877 AU |
| Excentricita: | 0,732 |
| Sklon dráhy: | 11,9° |
| Délka vzestupného uzlu: | 205,5° |
| Argument perihelia: | 224,3° |
| Střednà anomálie: | 354,9° |
| Epocha: | 2025 OCT 18 23:46:46 |
|