🇳🇴 🇬🇧 🇩🇪 🇨🇿 🇫🇮

Meteor over Köping 2025-10-19 00:02:05 UTC

KML-fil  |  Interaktivt kart

Kartet viser peilingene for meteoren. De lysere linjene viser retningene fra observasjonsstedene for meteorens tilsynekomst, og de mørkere linjene viser hvor den sist kunne sees. Den blå pila viser meteorens synlige ferd.

static map
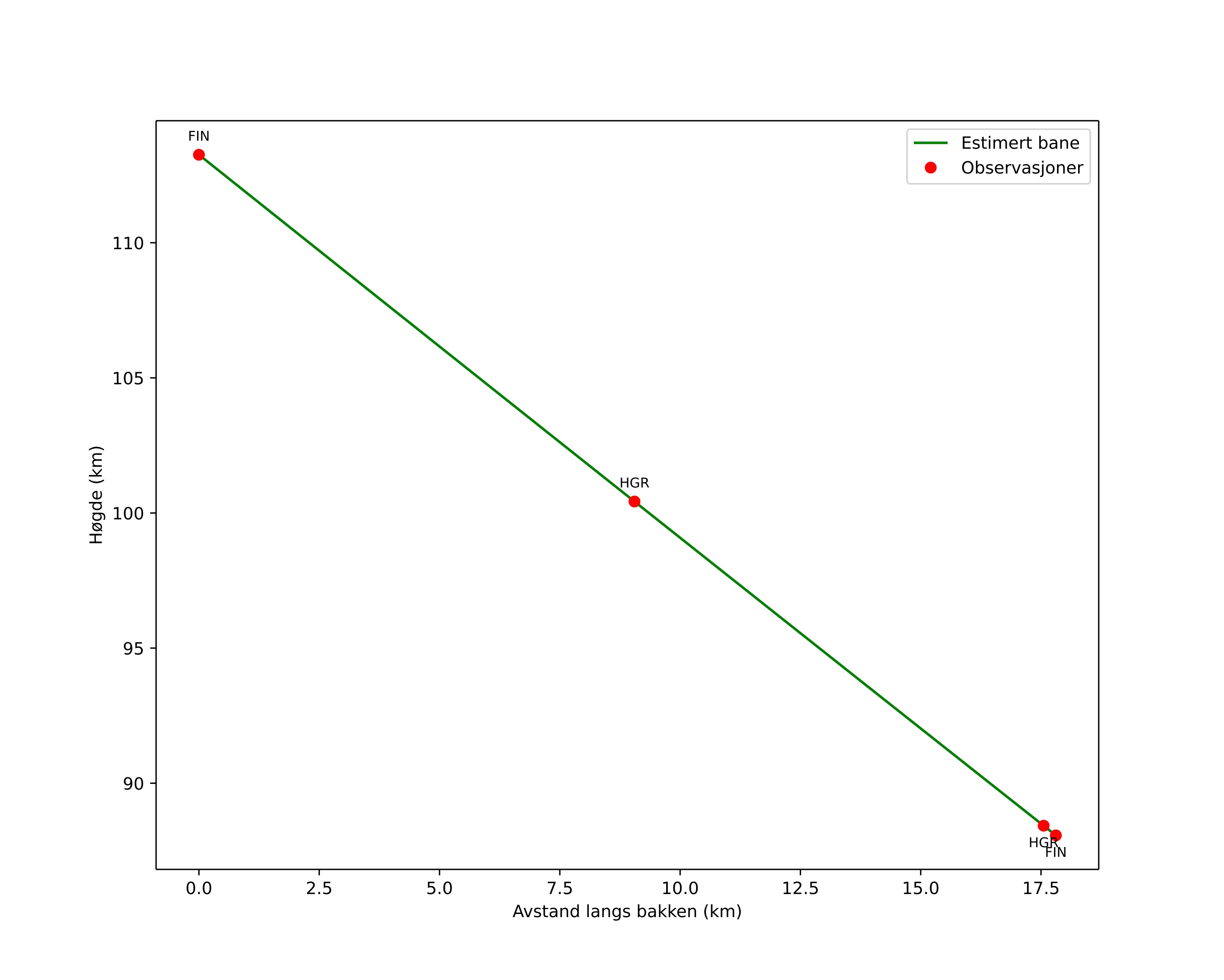
height profile
Meteorens atmosfæriske bane:
Starthøgde: 113,2 km
Slutthøgde: 87,4 km
Startposisjon: 59,633N 16,294E
Sluttposisjon: 59,652N 15,974E
Retning: 276,8°
Fallvinkel: 54,9°
Inngangshastighet: 73,0 km/s
Radiantens rektascensjon: 06:17 (94,3°)
Radiantens deklinasjon: 42,0°
Meteorsverm: sporadisk
Meteoroidens baneelement:
Perihelavstand: 0,746 AU
Eksentrisitet: 1,457
Inklinasjon: 145,4°
Knutelengde: 205,5°
Perihelargument: 234,7°
Midlere anomali: -13,2°
Epoke: 2025 OCT 19 00:02:05
orbit plot

Ikke-interaktivt plott | Interaktivt plott

position vs time
speed and acceleration

Finnskogen (FIN) cam3


gnomonic
Videoer
• Gnomonisk
• Gnomonisk med koordinater
• Original
• Original med koordinater
Bilder
• Gnomonisk
• Gnomonisk med koordinater
• Original
• Original med koordinater
Tekstfiler
• Deteksjon
• Observasjon
• Koordinater
• Logg
Lysstyrke

Hagar (HGR) cam4


gnomonic
Videoer
• Gnomonisk
• Gnomonisk med koordinater
• Original
• Original med koordinater
Bilder
• Gnomonisk
• Gnomonisk med koordinater
• Original
• Original med koordinater
Tekstfiler
• Deteksjon
• Observasjon
• Koordinater
• Logg
Lysstyrke