🇳🇴 🇬🇧 🇩🇪 🇨🇿 🇫🇮

Meteor over Flisa 2025-10-19 00:34:24 UTC

KML-fil  |  Interaktivt kart

Kartet viser peilingene for meteoren. De lysere linjene viser retningene fra observasjonsstedene for meteorens tilsynekomst, og de mørkere linjene viser hvor den sist kunne sees. Den blå pila viser meteorens synlige ferd.

static map
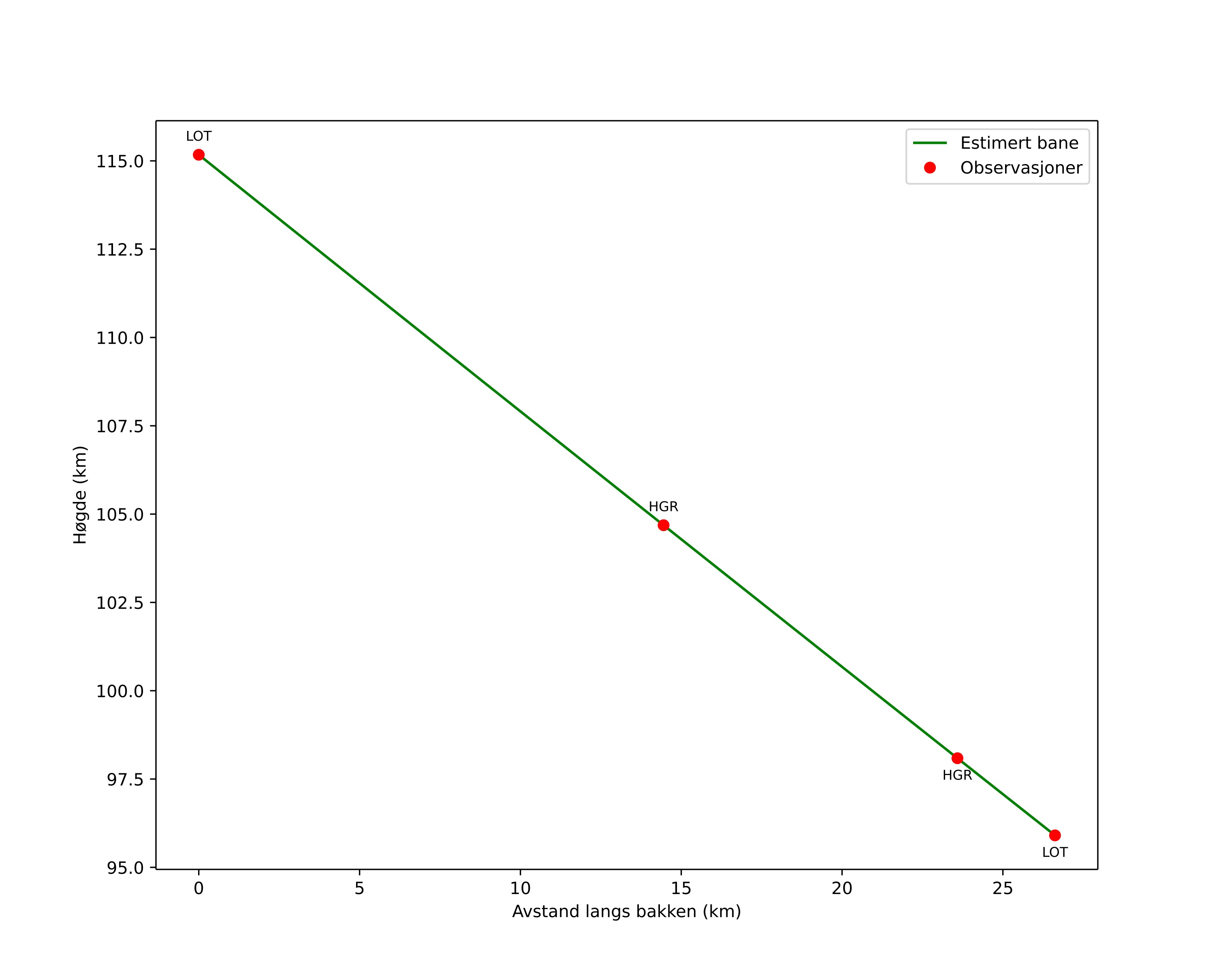
height profile
Meteorens atmosfæriske bane:
Starthøgde: 111,5 km
Slutthøgde: 97,0 km
Startposisjon: 60,558N 12,503E
Sluttposisjon: 60,661N 12,203E
Retning: 305,3°
Fallvinkel: 35,9°
Inngangshastighet: 59,7 km/s
Radiantens rektascensjon: 06:07 (91,9°)
Radiantens deklinasjon: 15,9°
Meteorsverm: Orionidene
Meteoroidens baneelement:
Perihelavstand: 0,386 AU
Eksentrisitet: 0,730
Inklinasjon: 161,6°
Knutelengde: 25,5°
Perihelargument: 116,9°
Midlere anomali: 332,6°
Epoke: 2025 OCT 19 00:34:24
orbit plot

Ikke-interaktivt plott | Interaktivt plott

position vs time
speed and acceleration

Hagar (HGR) cam3


gnomonic
Videoer
• Gnomonisk
• Gnomonisk med koordinater
• Original
• Original med koordinater
Bilder
• Gnomonisk
• Gnomonisk med koordinater
• Original
• Original med koordinater
Tekstfiler
• Deteksjon
• Observasjon
• Koordinater
• Logg
Lysstyrke

Loten (LOT) cam7


gnomonic
Videoer
• Gnomonisk
• Gnomonisk med koordinater
• Original
• Original med koordinater
Bilder
• Gnomonisk
• Gnomonisk med koordinater
• Original
• Original med koordinater
Tekstfiler
• Deteksjon
• Observasjon
• Koordinater
• Logg
Lysstyrke