Atmosférická dráha meteoru:
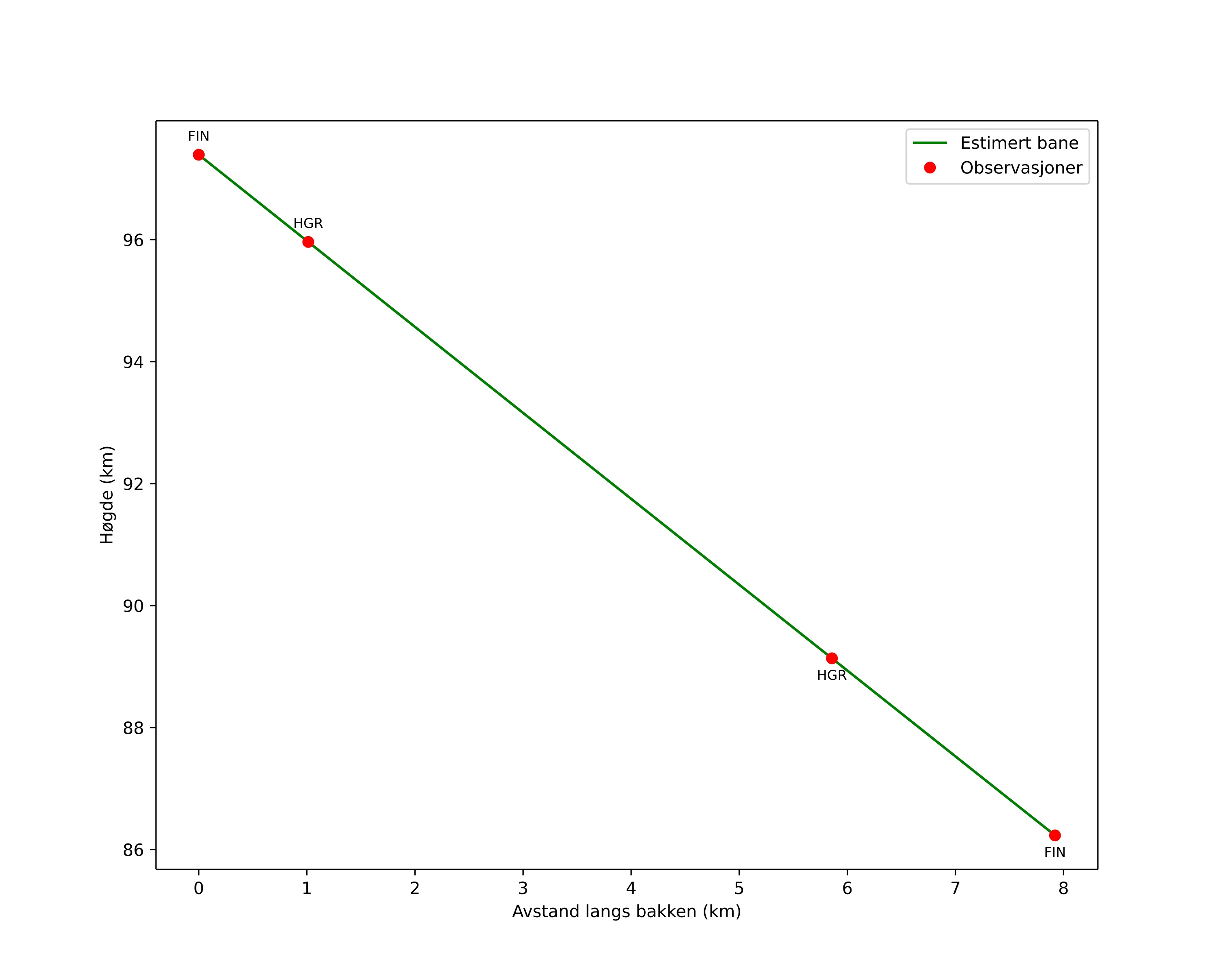
| Počátečnà výška: | 97,3 km |
| Konečná výška: | 86,5 km |
| Počátečnà poloha: | 61,377N 11,610E |
| Konečná poloha: | 61,448N 11,640E |
| Směr: | 11,5° |
| Sklon: | 53,3° |
| VstupnĂ rychlost: | 39,0 km/s |
| Rektascenze radiantu: | 02:49 (42,4°) |
| Deklinace radiantu: | 24,1° |
| MeteorickĂ˝ roj: | sporadickĂ˝ |
|
Elementy dráhy meteoroidu:
| Vzdálenost v periheliu: | 0,165 AU |
| Excentricita: | 0,949 |
| Sklon dráhy: | 16,5° |
| Délka vzestupného uzlu: | 205,5° |
| Argument perihelia: | 315,5° |
| Střednà anomálie: | 354,1° |
| Epocha: | 2025 OCT 19 00:45:56 |
|