🇳🇴 🇬🇧 🇩🇪 🇨🇿 🇫🇮

Meteor, poloha: Langesund 2025-10-19 00:51:50 UTC

Soubor KML  |  Interaktivní mapa

Mapa zobrazuje dráhy meteoru. Světlejší čáry ukazují směry od pozorovacích stanic při objevení se meteoru a tmavší čáry, kde byl naposledy viděn. Modrá šipka značí viditelnou dráhu meteoru.

static map
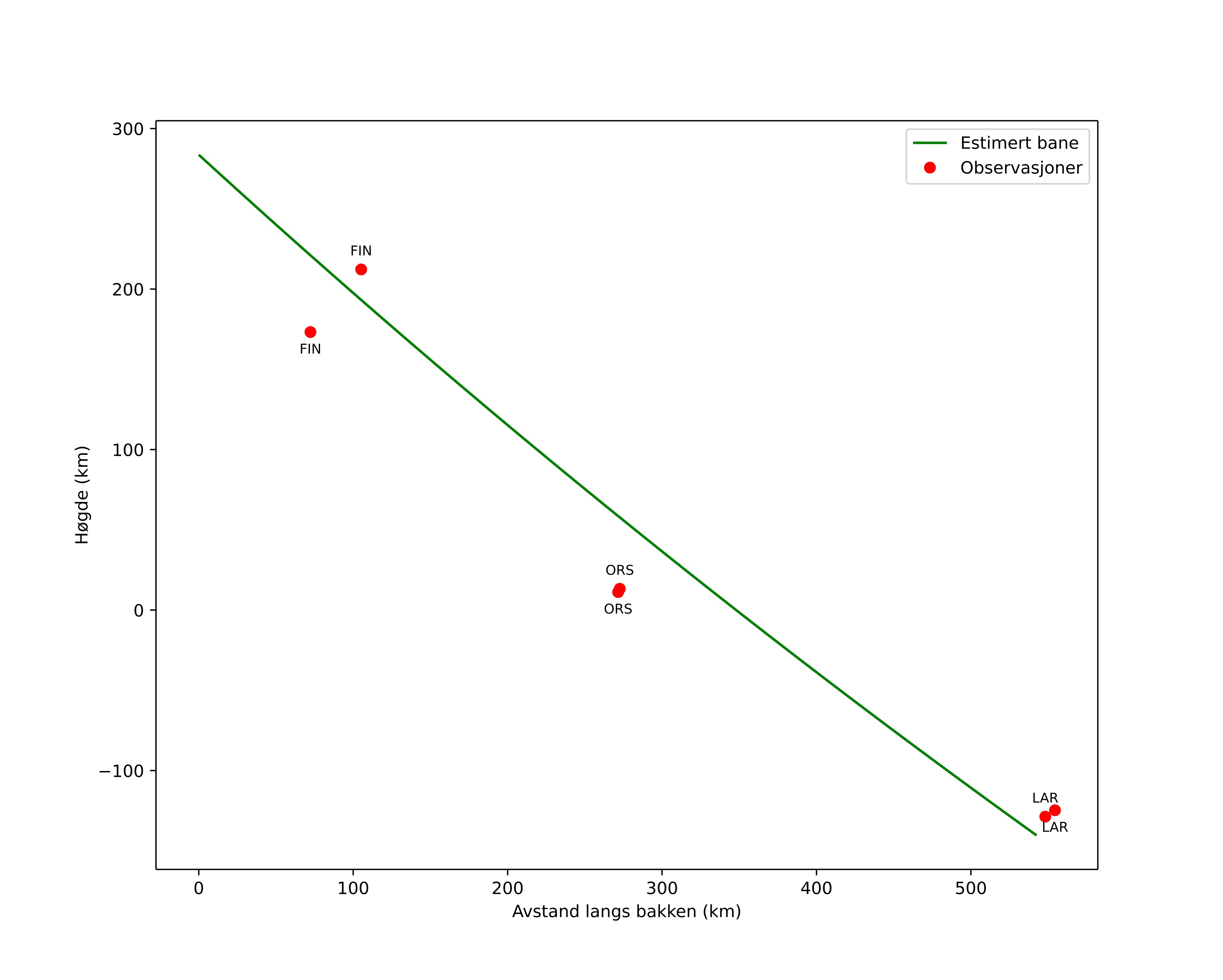
height profile
Atmosférická dráha meteoru:
Počáteční výška: 385,9 km
Konečná výška: -124,7 km
Počáteční poloha: 65,250N 9,436E
Konečná poloha: 58,999N 9,692E
Směr: 178,8°
Sklon: 36,3°
Vstupní rychlost: 8,0 km/s
position vs time
speed and acceleration