🇳🇴 🇬🇧 🇩🇪 🇨🇿 🇫🇮

Meteor, poloha: Ed 2025-10-19 01:27:43 UTC

Soubor KML  |  Interaktivní mapa

Mapa zobrazuje dráhy meteoru. Světlejší čáry ukazují směry od pozorovacích stanic při objevení se meteoru a tmavší čáry, kde byl naposledy viděn. Modrá šipka značí viditelnou dráhu meteoru.

static map
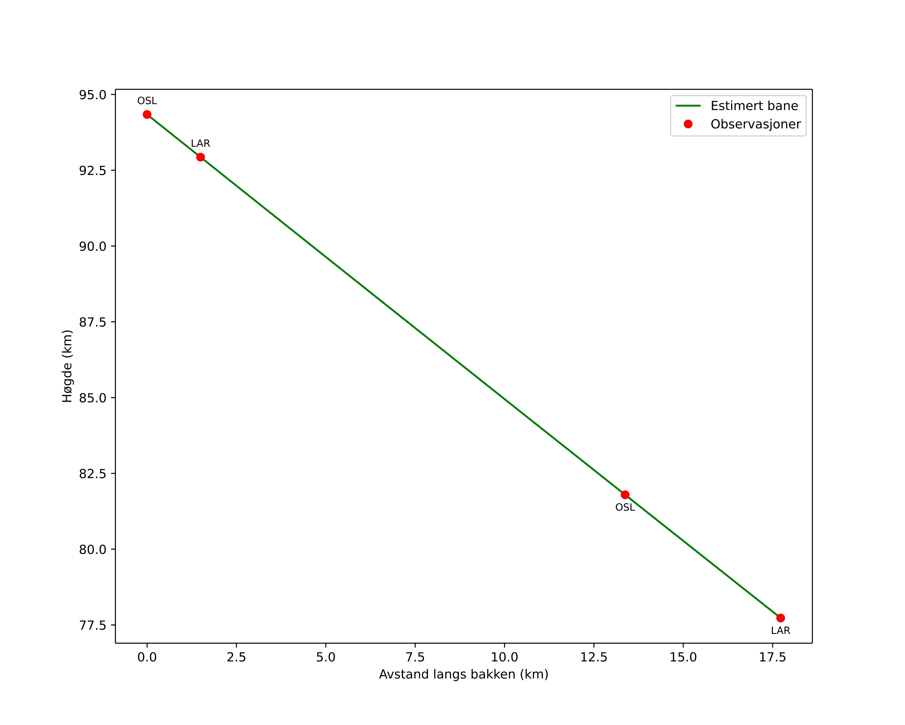
height profile
Atmosférická dráha meteoru:
Počáteční výška: 92,8 km
Konečná výška: 78,0 km
Počáteční poloha: 58,810N 11,856E
Konečná poloha: 58,942N 11,979E
Směr: 25,7°
Sklon: 42,2°
Vstupní rychlost: 29,2 km/s
Rektascenze radiantu: 02:43 (41,0°)
Deklinace radiantu: 11,1°
Meteorický roj: Jižní Tauridy
Elementy dráhy meteoroidu:
Vzdálenost v periheliu: 0,313 AU
Excentricita: 0,794
Sklon dráhy: 5,5°
Délka vzestupného uzlu: 25,6°
Argument perihelia: 123,4°
Střední anomálie: 336,7°
Epocha: 2025 OCT 19 01:27:43
orbit plot

Neinteraktivní graf | Interaktivní graf

position vs time
speed and acceleration