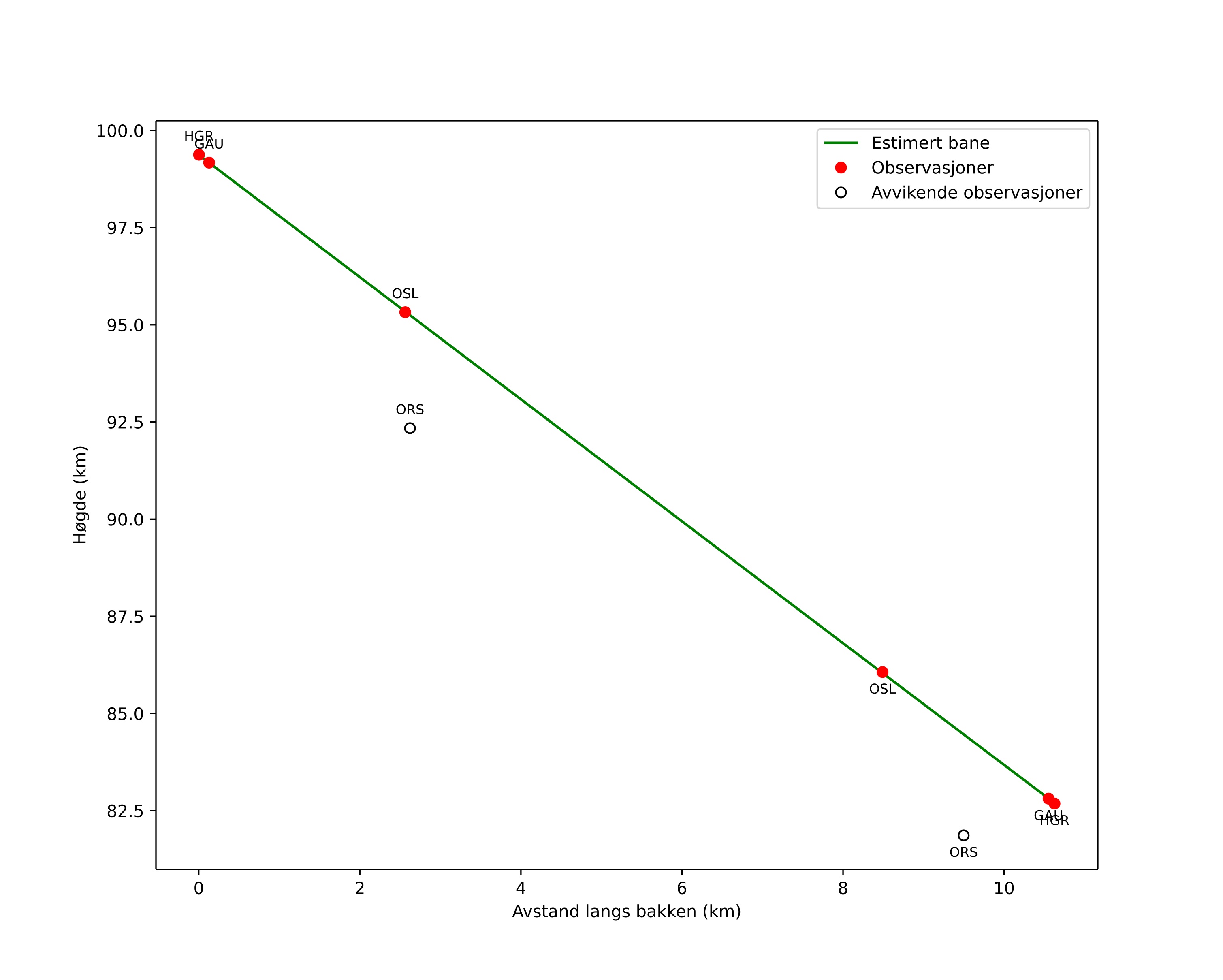
Atmosférická dráha meteoru:
| Počátečnà výška: | 99,0 km |
| Konečná výška: | 81,5 km |
| Počátečnà poloha: | 61,054N 8,271E |
| Konečná poloha: | 61,120N 8,425E |
| Směr: | 48,6° |
| Sklon: | 57,8° |
| VstupnĂ rychlost: | 36,1 km/s |
| Rektascenze radiantu: | 02:06 (31,7°) |
| Deklinace radiantu: | 33,7° |
| MeteorickĂ˝ roj: | sporadickĂ˝ |
|
Elementy dráhy meteoroidu:
| Vzdálenost v periheliu: | 0,336 AU |
| Excentricita: | 0,925 |
| Sklon dráhy: | 28,6° |
| Délka vzestupného uzlu: | 205,6° |
| Argument perihelia: | 292,3° |
| Střednà anomálie: | 355,9° |
| Epocha: | 2025 OCT 19 01:44:09 |
|