🇳🇴 🇬🇧 🇩🇪 🇨🇿 🇫🇮

Meteor over Geilo 2025-10-19 02:05:07 UTC

KML-fil  |  Interaktivt kart

Kartet viser peilingene for meteoren. De lysere linjene viser retningene fra observasjonsstedene for meteorens tilsynekomst, og de mørkere linjene viser hvor den sist kunne sees. Den blå pila viser meteorens synlige ferd.

static map
height profile
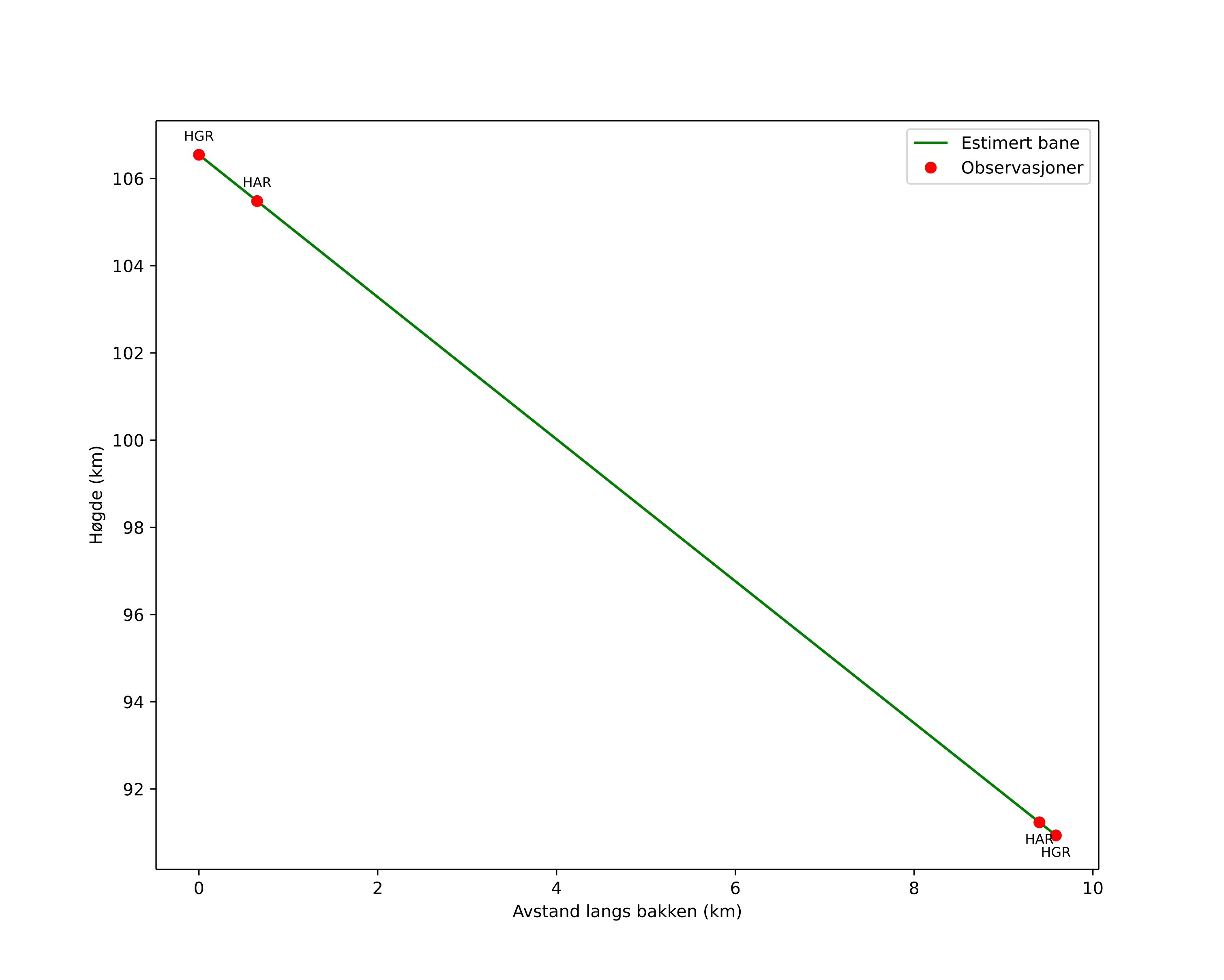
Meteorens atmosfæriske bane:
Starthøgde: 106,5 km
Slutthøgde: 90,6 km
Startposisjon: 60,324N 8,225E
Sluttposisjon: 60,286N 8,063E
Retning: 244,4°
Fallvinkel: 58,2°
Inngangshastighet: 65,2 km/s
Radiantens rektascensjon: 08:46 (131,6°)
Radiantens deklinasjon: 58,4°
Meteorsverm: sporadisk
Meteoroidens baneelement:
Perihelavstand: 0,996 AU
Eksentrisitet: 1,259
Inklinasjon: 116,6°
Knutelengde: 205,6°
Perihelargument: 179,2°
Midlere anomali: 0,1°
Epoke: 2025 OCT 19 02:05:07
orbit plot

Ikke-interaktivt plott | Interaktivt plott

position vs time
speed and acceleration

Hagar (HGR) cam1


gnomonic
Videoer
• Gnomonisk
• Gnomonisk med koordinater
• Original
• Original med koordinater
Bilder
• Gnomonisk
• Gnomonisk med koordinater
• Original
• Original med koordinater
Tekstfiler
• Deteksjon
• Observasjon
• Koordinater
• Logg
Lysstyrke

Harestua (HAR) cam5


gnomonic
Videoer
• Gnomonisk
• Gnomonisk med koordinater
• Original
• Original med koordinater
Bilder
• Gnomonisk
• Gnomonisk med koordinater
• Original
• Original med koordinater
Tekstfiler
• Deteksjon
• Observasjon
• Koordinater
• Logg
Lysstyrke