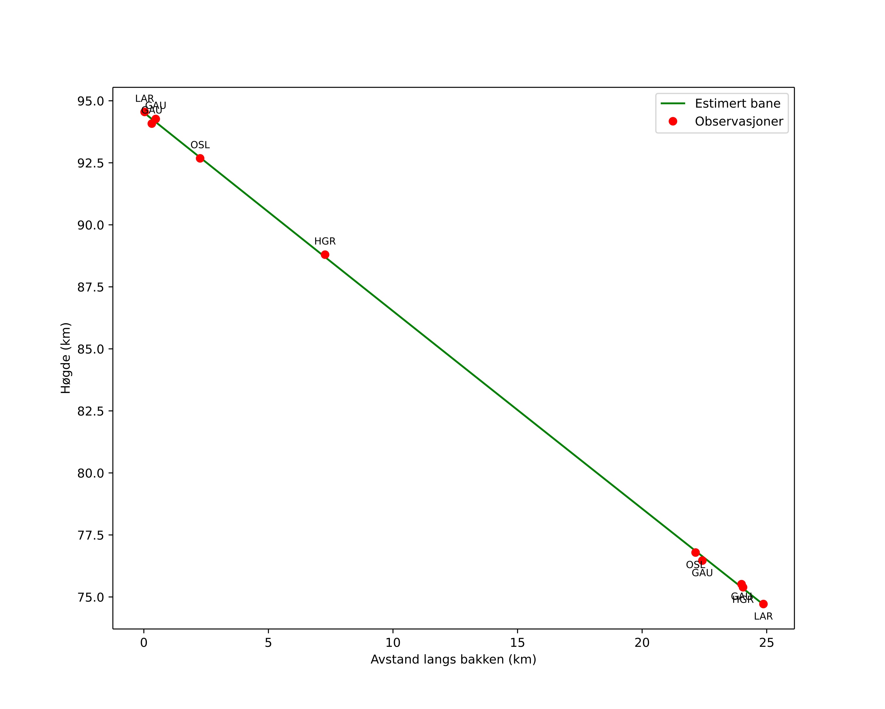
Atmosférická dráha meteoru:
| Počátečnà výška: | 94,2 km |
| Konečná výška: | 74,7 km |
| Počátečnà poloha: | 58,486N 9,239E |
| Konečná poloha: | 58,585N 9,617E |
| Směr: | 63,1° |
| Sklon: | 38,5° |
| VstupnĂ rychlost: | 40,5 km/s |
| Rektascenze radiantu: | 03:16 (49,2°) |
| Deklinace radiantu: | 19,0° |
| MeteorickĂ˝ roj: | sporadickĂ˝ |
|
Elementy dráhy meteoroidu:
| Vzdálenost v periheliu: | 0,091 AU |
| Excentricita: | 0,964 |
| Sklon dráhy: | 2,5° |
| Délka vzestupného uzlu: | 205,6° |
| Argument perihelia: | 328,4° |
| Střednà anomálie: | 351,9° |
| Epocha: | 2025 OCT 19 04:05:11 |
|