🇳🇴 🇬🇧 🇩🇪 🇨🇿 🇫🇮

Meteor over Dokka 2025-10-19 04:14:43 UTC

KML-fil  |  Interaktivt kart

Kartet viser peilingene for meteoren. De lysere linjene viser retningene fra observasjonsstedene for meteorens tilsynekomst, og de mørkere linjene viser hvor den sist kunne sees. Den blå pila viser meteorens synlige ferd.

static map
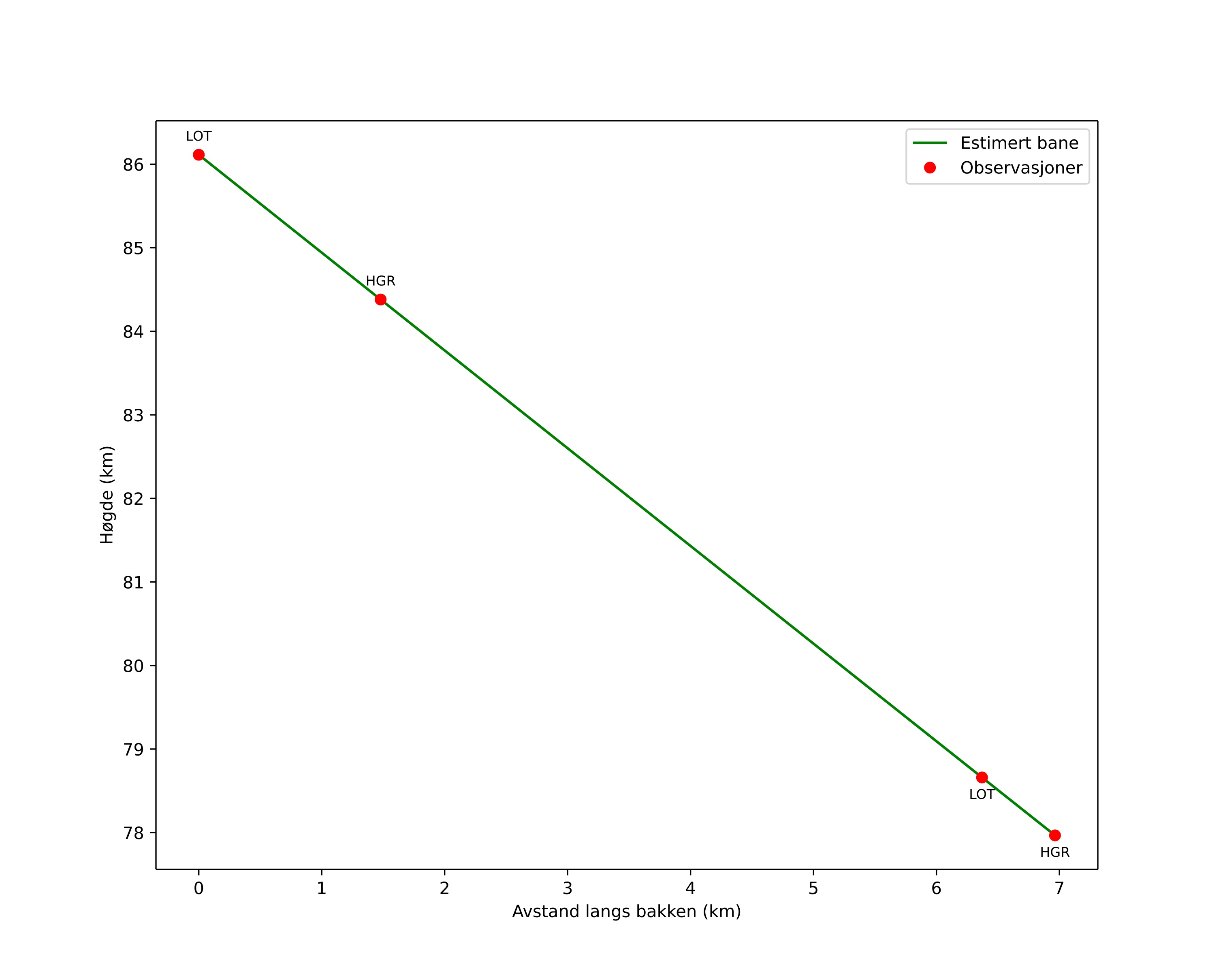
height profile
Meteorens atmosfæriske bane:
Starthøgde: 86,6 km
Slutthøgde: 78,0 km
Startposisjon: 60,658N 10,126E
Sluttposisjon: 60,592N 10,112E
Retning: 185,8°
Fallvinkel: 49,3°
Inngangshastighet: 33,6 km/s
Radiantens rektascensjon: 17:43 (266,0°)
Radiantens deklinasjon: 77,2°
Meteorsverm: sporadisk
Meteoroidens baneelement:
Perihelavstand: 0,991 AU
Eksentrisitet: 0,764
Inklinasjon: 51,9°
Knutelengde: 205,7°
Perihelargument: 188,6°
Midlere anomali: 359,3°
Epoke: 2025 OCT 19 04:14:43
orbit plot

Ikke-interaktivt plott | Interaktivt plott

position vs time
speed and acceleration

Hagar (HGR) cam7


gnomonic
Videoer
• Gnomonisk
• Gnomonisk med koordinater
• Original
• Original med koordinater
Bilder
• Gnomonisk
• Gnomonisk med koordinater
• Original
• Original med koordinater
Tekstfiler
• Deteksjon
• Observasjon
• Koordinater
• Logg
Lysstyrke

Loten (LOT) cam5


gnomonic
Videoer
• Gnomonisk
• Gnomonisk med koordinater
• Original
• Original med koordinater
Bilder
• Gnomonisk
• Gnomonisk med koordinater
• Original
• Original med koordinater
Tekstfiler
• Deteksjon
• Observasjon
• Koordinater
• Logg
Lysstyrke