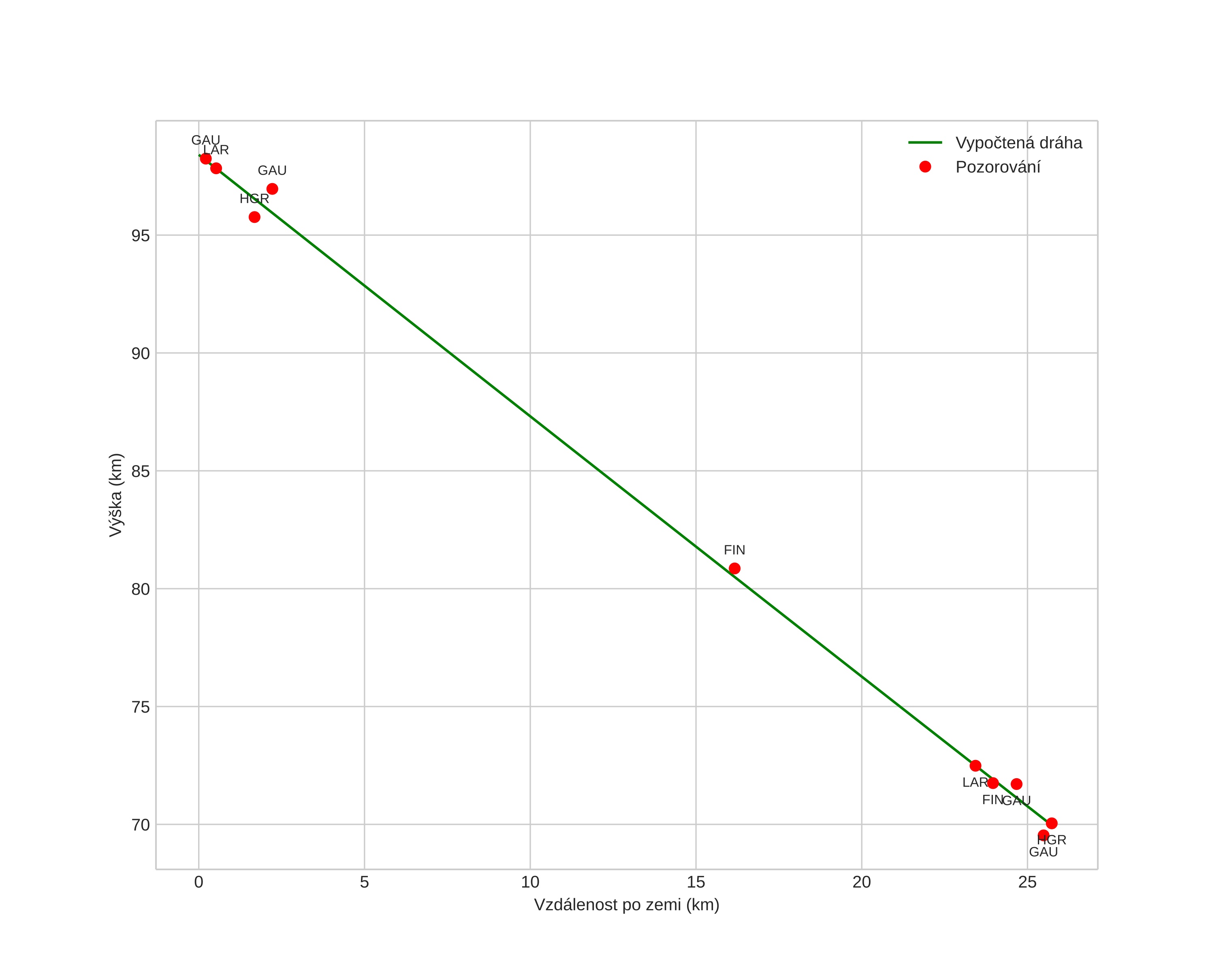
Atmosférická dráha meteoru:
| Počátečnà výška: | 98,9 km |
| Konečná výška: | 68,9 km |
| Počátečnà poloha: | 58,386N 3,853E |
| Konečná poloha: | 58,147N 3,960E |
| Směr: | 166,7° |
| Sklon: | 47,7° |
| VstupnĂ rychlost: | 41,9 km/s |
| Rektascenze radiantu: | 12:22 (185,6°) |
| Deklinace radiantu: | 76,0° |
| MeteorickĂ˝ roj: | sporadickĂ˝ |
|
Elementy dráhy meteoroidu:
| Vzdálenost v periheliu: | 0,993 AU |
| Excentricita: | 0,665 |
| Sklon dráhy: | 71,2° |
| Délka vzestupného uzlu: | 206,3° |
| Argument perihelia: | 173,5° |
| Střednà anomálie: | 1,0° |
| Epocha: | 2025 OCT 19 19:26:51 |
|