🇳🇴 🇬🇧 🇩🇪 🇨🇿 🇫🇮

Meteor over Säffle 2025-10-19 19:28:45 UTC

KML-fil  |  Interaktivt kart

Kartet viser peilingene for meteoren. De lysere linjene viser retningene fra observasjonsstedene for meteorens tilsynekomst, og de mørkere linjene viser hvor den sist kunne sees. Den blå pila viser meteorens synlige ferd.

static map
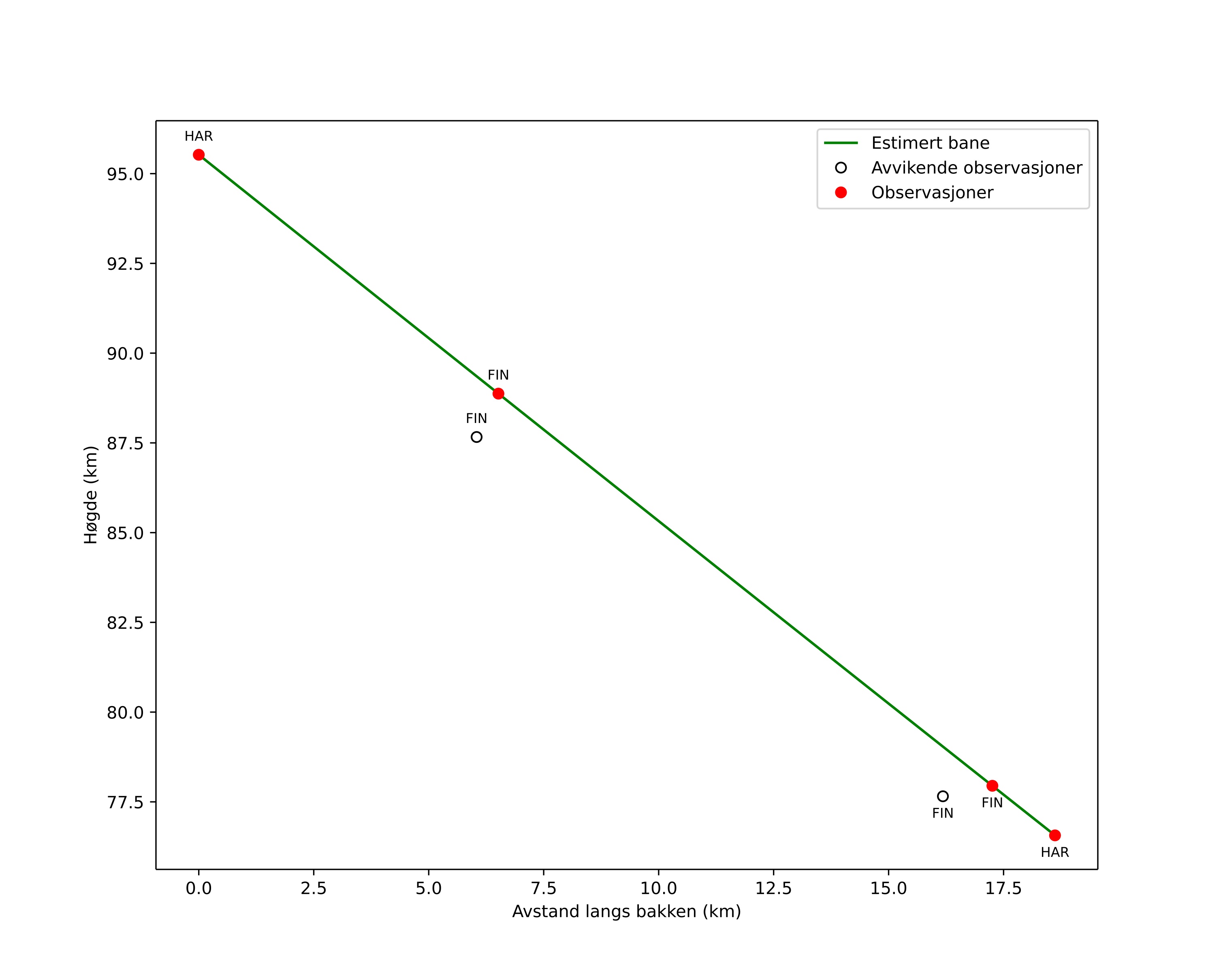
height profile
Meteorens atmosfæriske bane:
Starthøgde: 59,2 km
Slutthøgde: 22,1 km
Startposisjon: 59,173N 13,309E
Sluttposisjon: 59,208N 12,787E
Retning: 277,7°
Fallvinkel: 51,1°
Inngangshastighet: 10,9 km/s
orbit plot

Ikke-interaktivt plott | Interaktivt plott

position vs time
speed and acceleration

Finnskogen (FIN) cam3


gnomonic
Videoer
• Gnomonisk
• Gnomonisk med koordinater
• Original
• Original med koordinater
Bilder
• Gnomonisk
• Gnomonisk med koordinater
• Original
• Original med koordinater
Tekstfiler
• Deteksjon
• Observasjon
• Koordinater
• Logg
Lysstyrke

Finnskogen (FIN) cam4


gnomonic
Videoer
• Gnomonisk
• Gnomonisk med koordinater
• Original
• Original med koordinater
Bilder
• Gnomonisk
• Gnomonisk med koordinater
• Original
• Original med koordinater
Tekstfiler
• Deteksjon
• Observasjon
• Koordinater
• Logg
Lysstyrke

Harestua (HAR) cam3


gnomonic
Videoer
• Gnomonisk
• Gnomonisk med koordinater
• Original
• Original med koordinater
Bilder
• Gnomonisk
• Gnomonisk med koordinater
• Original
• Original med koordinater
Tekstfiler
• Deteksjon
• Observasjon
• Koordinater
• Logg
Lysstyrke