🇳🇴 🇬🇧 🇩🇪 🇨🇿 🇫🇮

Meteor over Sauland 2025-10-19 21:26:30 UTC

KML-fil  |  Interaktivt kart

Kartet viser peilingene for meteoren. De lysere linjene viser retningene fra observasjonsstedene for meteorens tilsynekomst, og de mørkere linjene viser hvor den sist kunne sees. Den blå pila viser meteorens synlige ferd.

static map
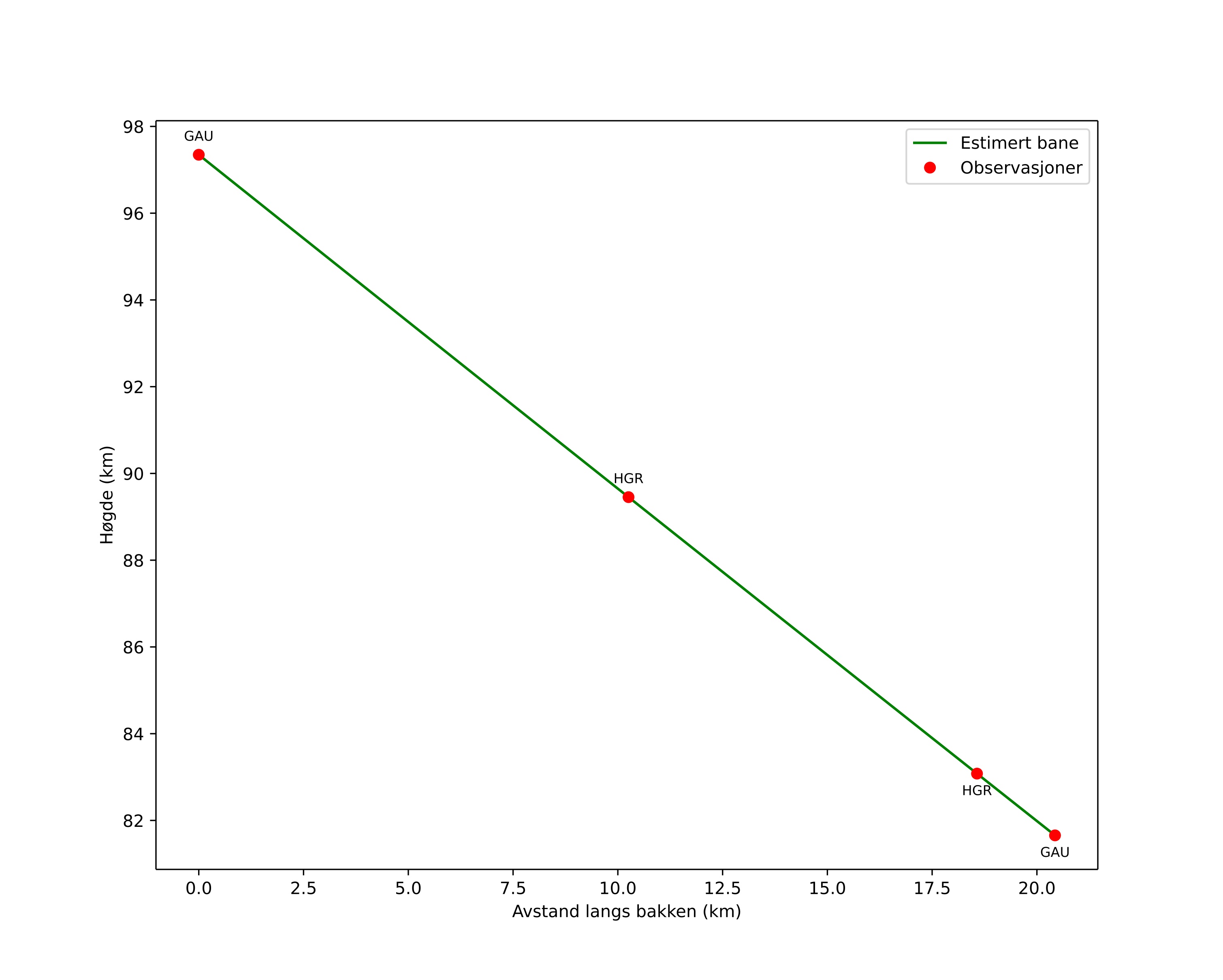
height profile
Meteorens atmosfæriske bane:
Starthøgde: 98,3 km
Slutthøgde: 81,5 km
Startposisjon: 59,342N 9,185E
Sluttposisjon: 59,472N 8,871E
Retning: 309,3°
Fallvinkel: 36,3°
Inngangshastighet: 32,3 km/s
Radiantens rektascensjon: 02:37 (39,5°)
Radiantens deklinasjon: 12,6°
Meteorsverm: Sørlige tauridene
Meteoroidens baneelement:
Perihelavstand: 0,299 AU
Eksentrisitet: 0,865
Inklinasjon: 3,6°
Knutelengde: 26,4°
Perihelargument: 120,6°
Midlere anomali: 347,7°
Epoke: 2025 OCT 19 21:26:30
orbit plot

Ikke-interaktivt plott | Interaktivt plott

position vs time
speed and acceleration

Gaustatoppen (GAU) cam7


gnomonic
Videoer
• Gnomonisk
• Gnomonisk med koordinater
• Original
• Original med koordinater
Bilder
• Gnomonisk
• Gnomonisk med koordinater
• Original
• Original med koordinater
Tekstfiler
• Deteksjon
• Observasjon
• Koordinater
• Logg
Lysstyrke

Hagar (HGR) cam5


gnomonic
Videoer
• Gnomonisk
• Gnomonisk med koordinater
• Original
• Original med koordinater
Bilder
• Gnomonisk
• Gnomonisk med koordinater
• Original
• Original med koordinater
Tekstfiler
• Deteksjon
• Observasjon
• Koordinater
• Logg
Lysstyrke