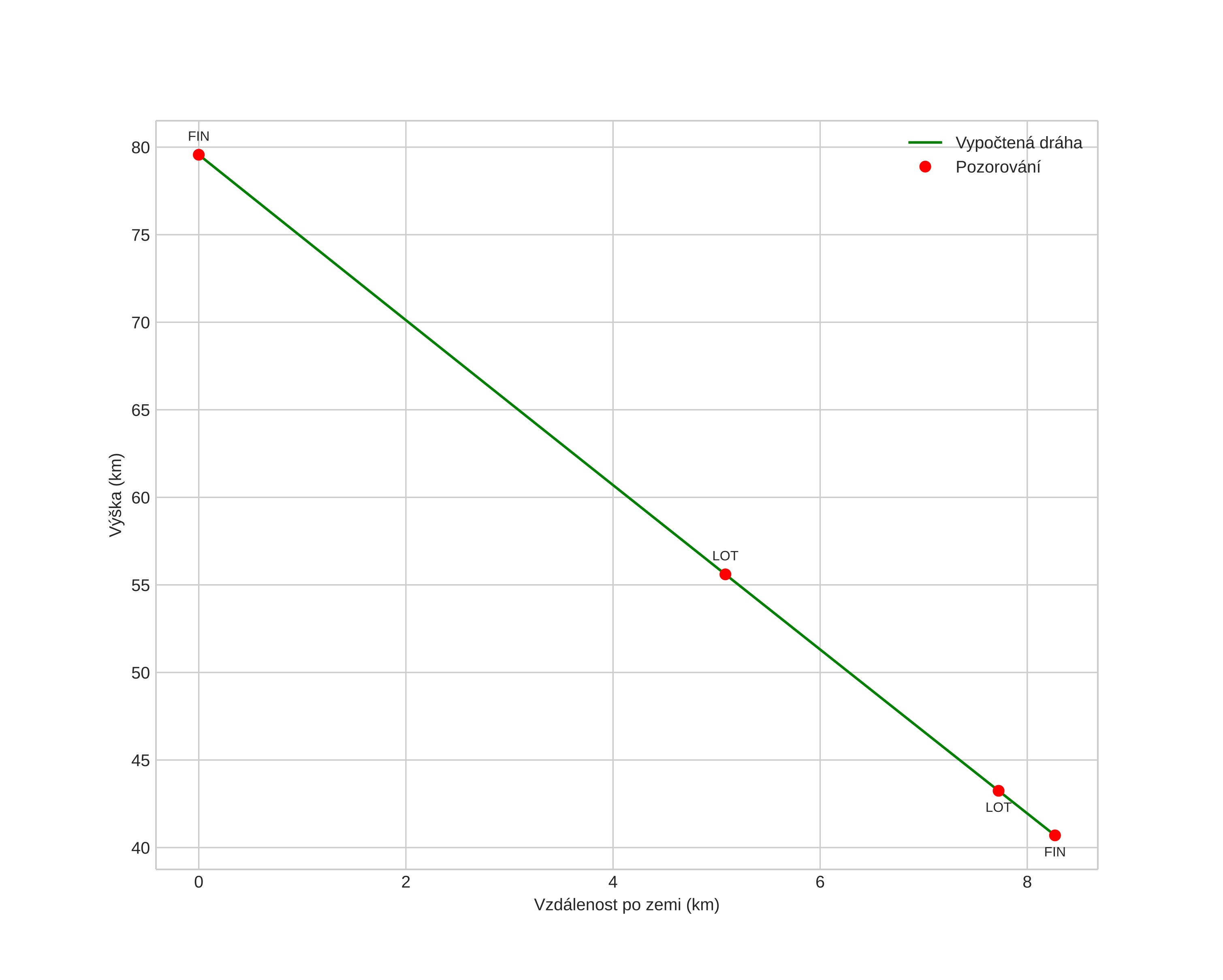
Atmosférická dráha meteoru:
| Počátečnà výška: | 55,4 km |
| Konečná výška: | 40,0 km |
| Počátečnà poloha: | 61,116N 12,397E |
| Konečná poloha: | 61,126N 12,344E |
| Směr: | 291,2° |
| Sklon: | 78,9° |
| VstupnĂ rychlost: | 22,6 km/s |
| Rektascenze radiantu: | 22:47 (341,9°) |
| Deklinace radiantu: | 55,0° |
| MeteorickĂ˝ roj: | sporadickĂ˝ |
|
Elementy dráhy meteoroidu:
| Vzdálenost v periheliu: | 0,884 AU |
| Excentricita: | 0,665 |
| Sklon dráhy: | 26,3° |
| Délka vzestupného uzlu: | 210,3° |
| Argument perihelia: | 223,8° |
| Střednà anomálie: | 352,9° |
| Epocha: | 2025 OCT 23 18:35:35 |
|