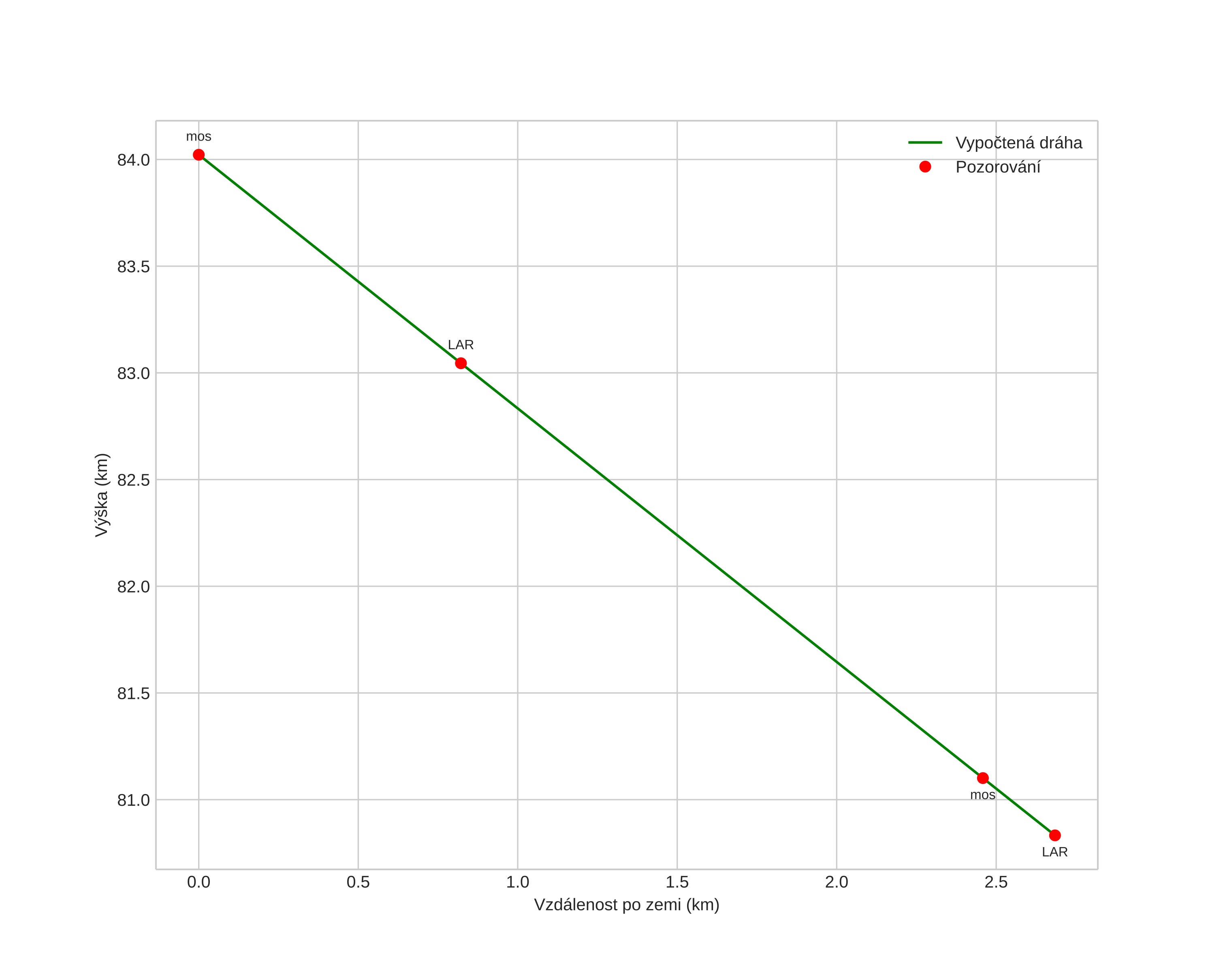
Atmosférická dráha meteoru:
| Počátečnà výška: | 84,3 km |
| Konečná výška: | 80,5 km |
| Počátečnà poloha: | 59,190N 10,800E |
| Konečná poloha: | 59,179N 10,853E |
| Směr: | 111,8° |
| Sklon: | 49,3° |
| VstupnĂ rychlost: | 22,1 km/s |
| Rektascenze radiantu: | 17:53 (268,3°) |
| Deklinace radiantu: | 48,2° |
| MeteorickĂ˝ roj: | sporadickĂ˝ |
|
Elementy dráhy meteoroidu:
| Vzdálenost v periheliu: | 0,986 AU |
| Excentricita: | 0,741 |
| Sklon dráhy: | 27,7° |
| Délka vzestupného uzlu: | 214,3° |
| Argument perihelia: | 168,9° |
| Střednà anomálie: | 1,1° |
| Epocha: | 2025 OCT 27 19:53:06 |
|