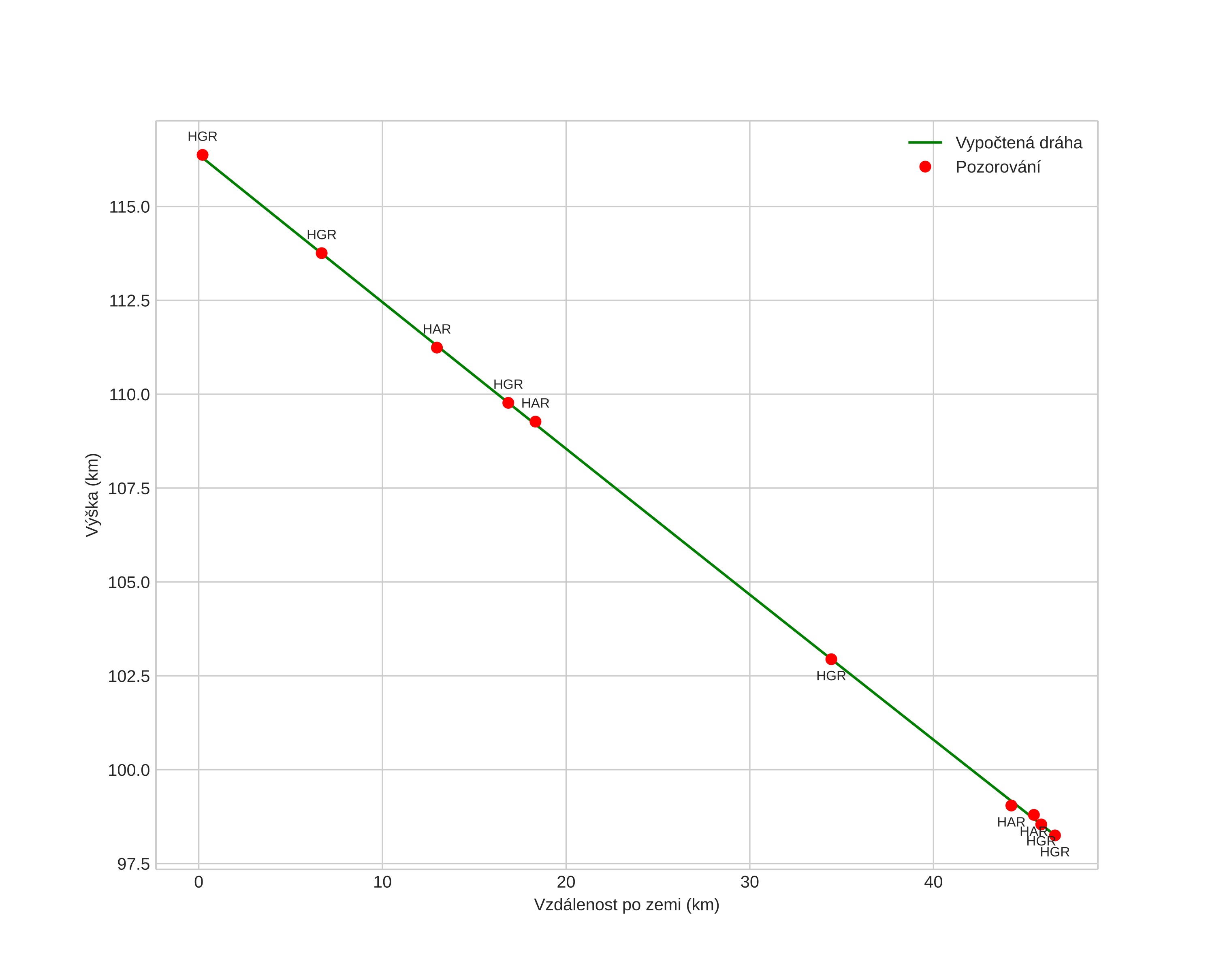
Atmosférická dráha meteoru:
| Počátečnà výška: | 115,5 km |
| Konečná výška: | 97,7 km |
| Počátečnà poloha: | 61,496N 12,571E |
| Konečná poloha: | 61,211N 11,923E |
| Směr: | 227,7° |
| Sklon: | 20,8° |
| VstupnĂ rychlost: | 61,4 km/s |
| Rektascenze radiantu: | 07:59 (119,8°) |
| Deklinace radiantu: | 37,3° |
| MeteorickĂ˝ roj: | sporadickĂ˝ |
|
Elementy dráhy meteoroidu:
| Vzdálenost v periheliu: | 0,809 AU |
| Excentricita: | 0,400 |
| Sklon dráhy: | 147,8° |
| Délka vzestupného uzlu: | 214,3° |
| Argument perihelia: | 249,7° |
| Střednà anomálie: | 328,3° |
| Epocha: | 2025 OCT 27 20:47:36 |
|