🇳🇴 🇬🇧 🇩🇪 🇨🇿 🇫🇮

Meteor over Moss 2025-10-28 01:50:54 UTC

KML-fil  |  Interaktivt kart

Kartet viser peilingene for meteoren. De lysere linjene viser retningene fra observasjonsstedene for meteorens tilsynekomst, og de mørkere linjene viser hvor den sist kunne sees. Den blå pila viser meteorens synlige ferd.

static map
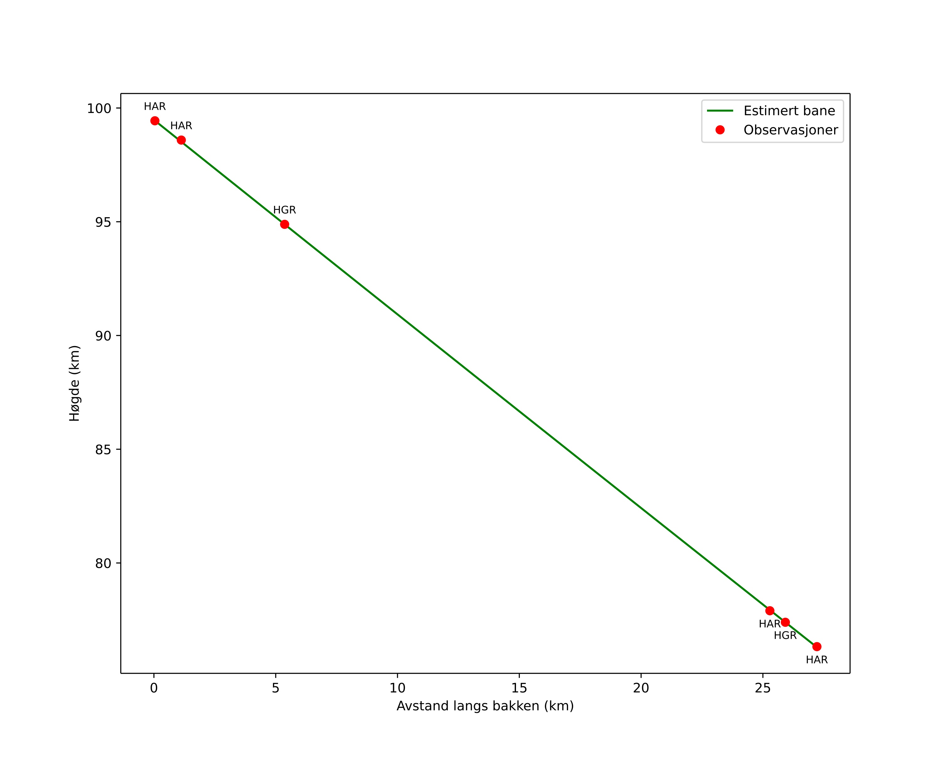
height profile
Meteorens atmosfæriske bane:
Starthøgde: 99,5 km
Slutthøgde: 76,3 km
Startposisjon: 59,327N 10,399E
Sluttposisjon: 59,528N 10,672E
Retning: 34,5°
Fallvinkel: 40,5°
Inngangshastighet: 29,3 km/s
Radiantens rektascensjon: 03:08 (47,0°)
Radiantens deklinasjon: 11,6°
Meteorsverm: Sørlige tauridene
Meteoroidens baneelement:
Perihelavstand: 0,352 AU
Eksentrisitet: 0,805
Inklinasjon: 6,6°
Knutelengde: 34,6°
Perihelargument: 116,7°
Midlere anomali: 342,1°
Epoke: 2025 OCT 28 01:50:54
orbit plot

Ikke-interaktivt plott | Interaktivt plott

position vs time
speed and acceleration

Hagar (HGR) cam4


gnomonic
Videoer
• Gnomonisk
• Gnomonisk med koordinater
• Original
• Original med koordinater
Bilder
• Gnomonisk
• Gnomonisk med koordinater
• Original
• Original med koordinater
Tekstfiler
• Deteksjon
• Observasjon
• Koordinater
• Logg
Lysstyrke

Harestua (HAR) cam3


gnomonic
Videoer
• Gnomonisk
• Gnomonisk med koordinater
• Original
• Original med koordinater
Bilder
• Gnomonisk
• Gnomonisk med koordinater
• Original
• Original med koordinater
Tekstfiler
• Deteksjon
• Observasjon
• Koordinater
• Logg
Lysstyrke

Harestua (HAR) cam7


gnomonic
Videoer
• Gnomonisk
• Gnomonisk med koordinater
• Original
• Original med koordinater
Bilder
• Gnomonisk
• Gnomonisk med koordinater
• Original
• Original med koordinater
Tekstfiler
• Deteksjon
• Observasjon
• Koordinater
• Logg
Lysstyrke