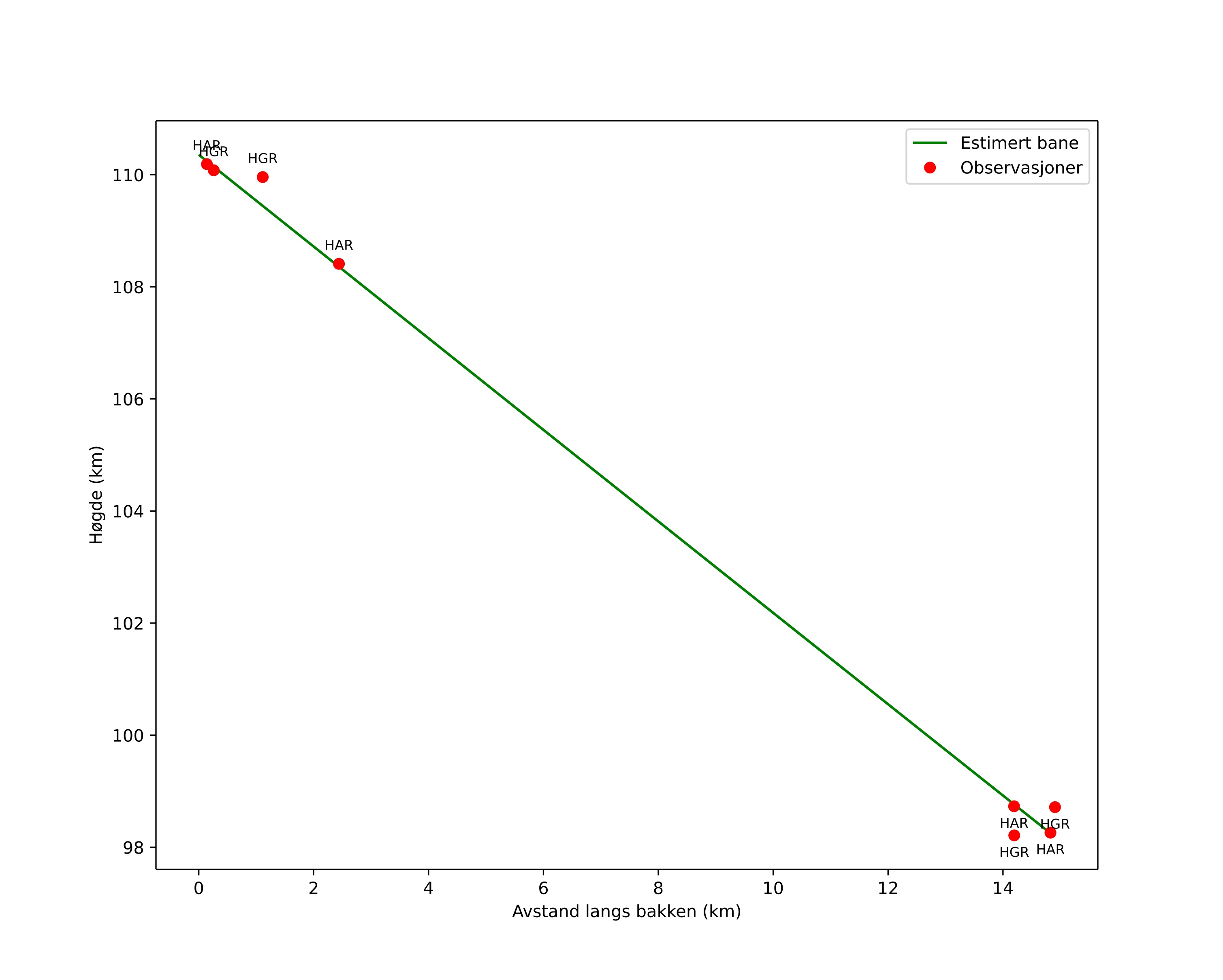
Atmosférická dráha meteoru:
| Počátečnà výška: | 109,9 km |
| Konečná výška: | 96,4 km |
| Počátečnà poloha: | 59,473N 8,916E |
| Konečná poloha: | 59,588N 8,739E |
| Směr: | 322,3° |
| Sklon: | 39,7° |
| VstupnĂ rychlost: | 69,8 km/s |
| Rektascenze radiantu: | 06:52 (103,1°) |
| Deklinace radiantu: | 13,6° |
| MeteorickĂ˝ roj: | Orionidy |
|
Elementy dráhy meteoroidu:
| Vzdálenost v periheliu: | 0,657 AU |
| Excentricita: | 1,065 |
| Sklon dráhy: | 161,6° |
| Délka vzestupného uzlu: | 34,5° |
| Argument perihelia: | 69,9° |
| Střednà anomálie: | -1,1° |
| Epocha: | 2025 OCT 28 01:56:05 |
|