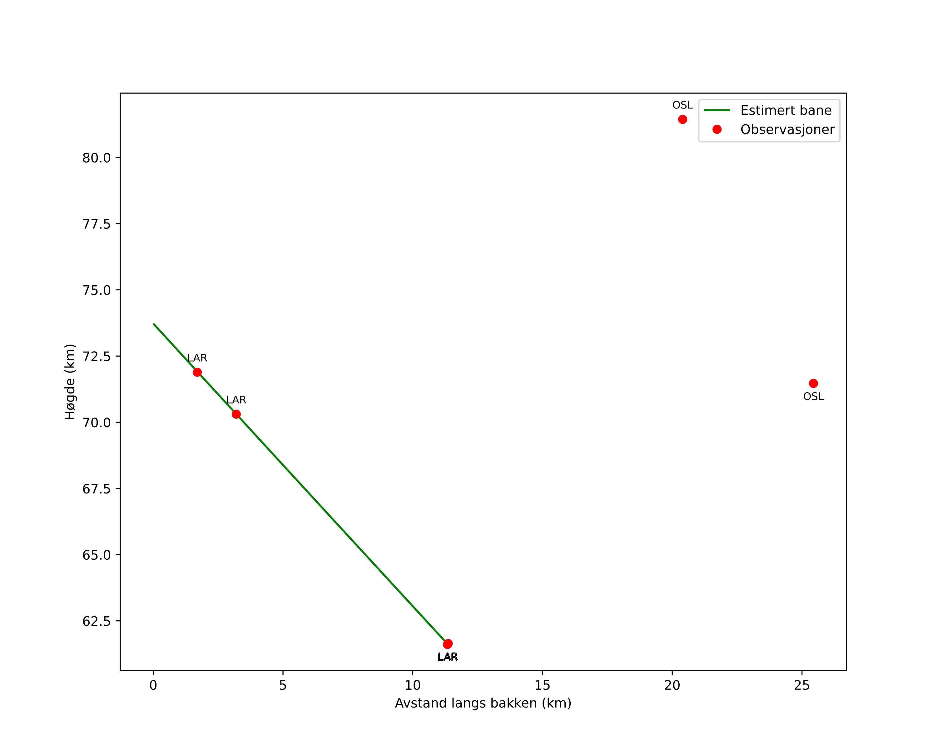
Atmosférická dráha meteoru:
| Počátečnà výška: | 77,3 km |
| Konečná výška: | 61,2 km |
| Počátečnà poloha: | 58,839N 8,602E |
| Konečná poloha: | 58,831N 8,387E |
| Směr: | 266,0° |
| Sklon: | 52,4° |
| VstupnĂ rychlost: | 52,5 km/s |
| Rektascenze radiantu: | 09:26 (141,6°) |
| Deklinace radiantu: | 44,3° |
| MeteorickĂ˝ roj: | sporadickĂ˝ |
|
Elementy dráhy meteoroidu:
| Vzdálenost v periheliu: | 0,769 AU |
| Excentricita: | 0,150 |
| Sklon dráhy: | 122,7° |
| Délka vzestupného uzlu: | 214,6° |
| Argument perihelia: | 42,8° |
| Střednà anomálie: | 124,4° |
| Epocha: | 2025 OCT 28 02:32:28 |
|