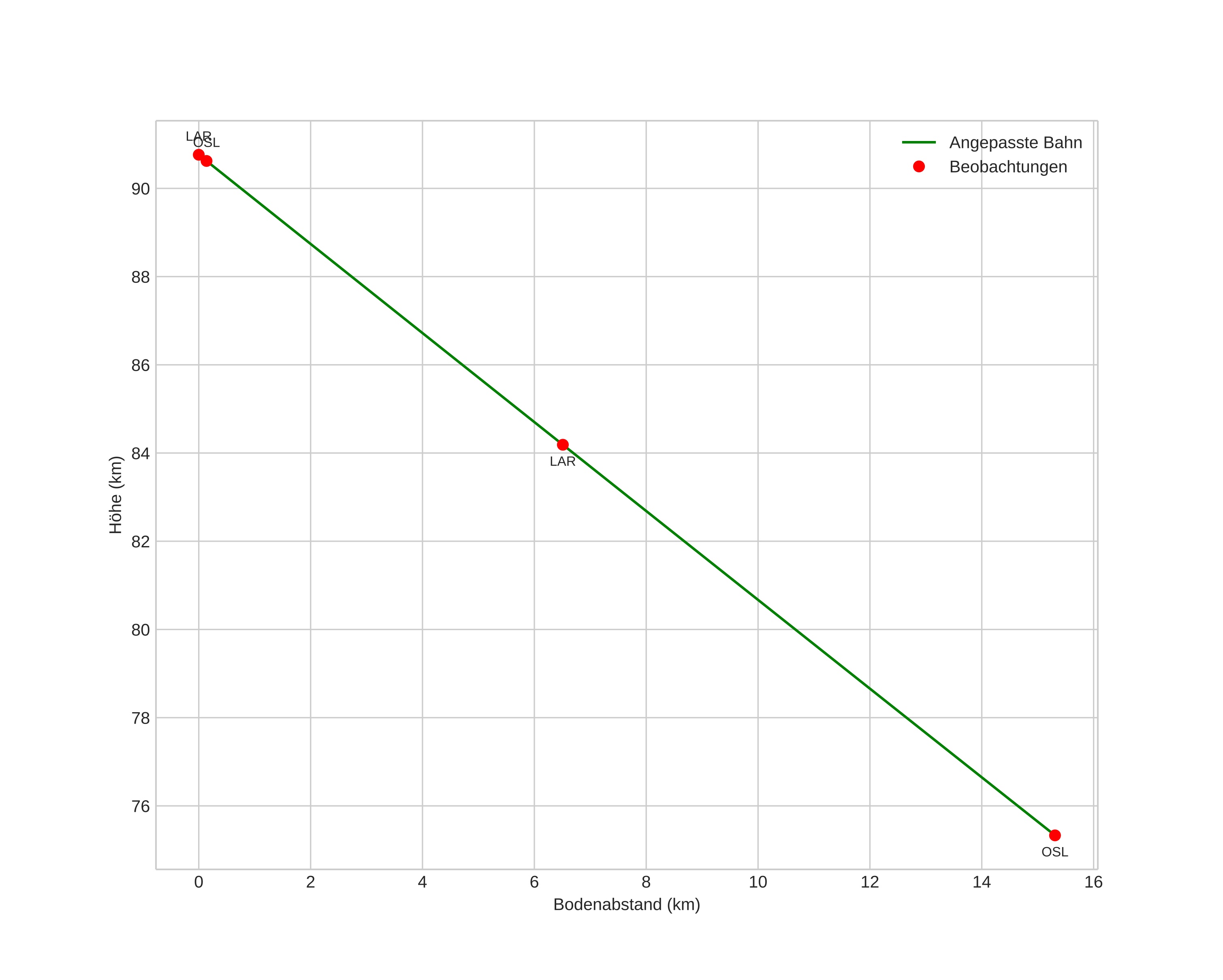
Atmosférická dráha meteoru:
| Počátečnà výška: | 92,2 km |
| Konečná výška: | 75,3 km |
| Počátečnà poloha: | 59,819N 9,134E |
| Konečná poloha: | 59,957N 9,014E |
| Směr: | 336,6° |
| Sklon: | 45,3° |
| VstupnĂ rychlost: | 32,7 km/s |
| Rektascenze radiantu: | 03:19 (50,0°) |
| Deklinace radiantu: | 15,3° |
| MeteorickĂ˝ roj: | SevernĂ Tauridy |
|
Elementy dráhy meteoroidu:
| Vzdálenost v periheliu: | 0,301 AU |
| Excentricita: | 0,876 |
| Sklon dráhy: | 4,1° |
| Délka vzestupného uzlu: | 37,5° |
| Argument perihelia: | 119,5° |
| Střednà anomálie: | 349,5° |
| Epocha: | 2025 OCT 30 22:59:51 |
|