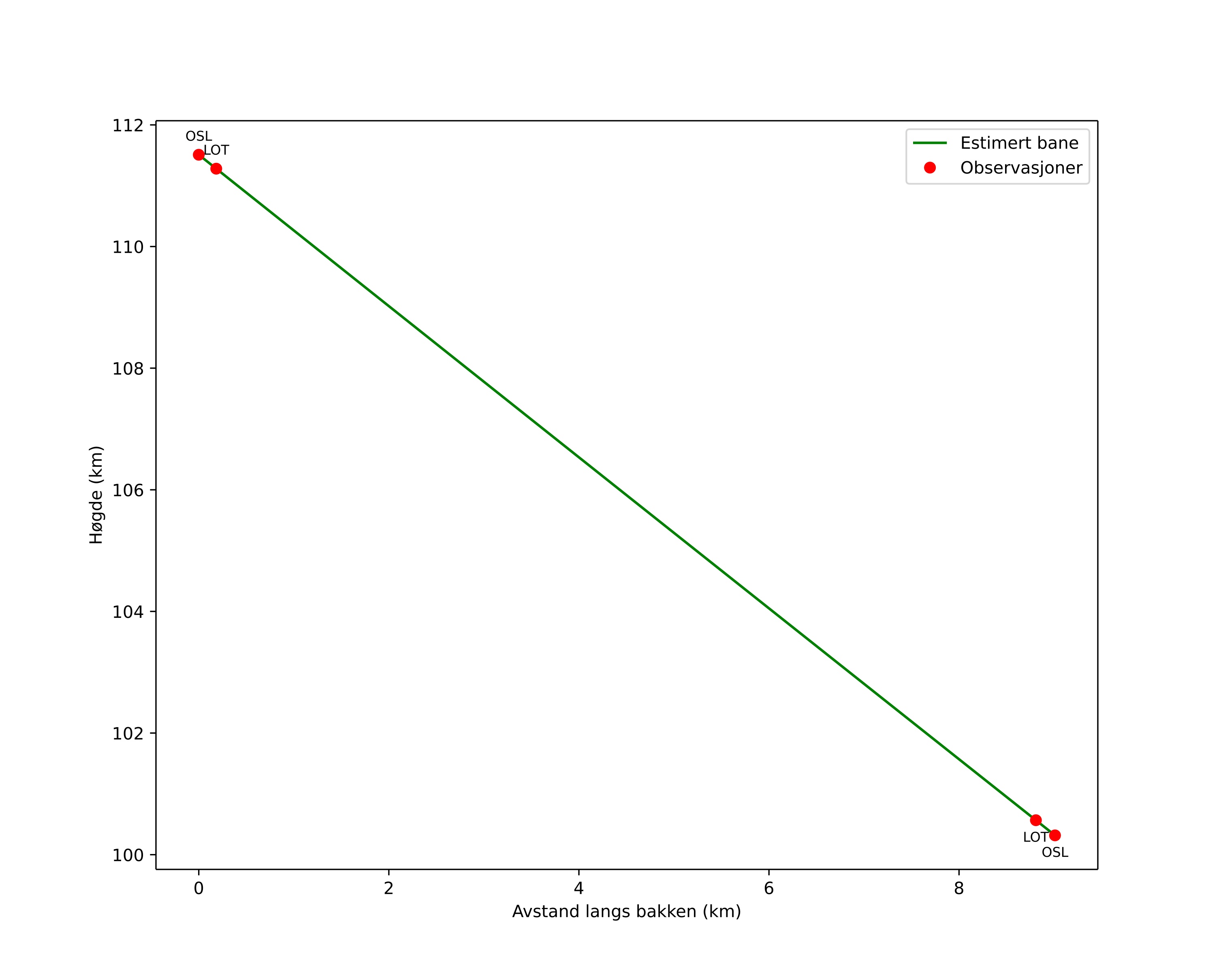
Atmosférická dráha meteoru:
| Počátečnà výška: | 111,6 km |
| Konečná výška: | 98,7 km |
| Počátečnà poloha: | 59,539N 8,666E |
| Konečná poloha: | 59,564N 8,489E |
| Směr: | 285,9° |
| Sklon: | 51,2° |
| VstupnĂ rychlost: | 59,0 km/s |
| Rektascenze radiantu: | 11:09 (167,3°) |
| Deklinace radiantu: | 35,7° |
| MeteorickĂ˝ roj: | sporadickĂ˝ |
|
Elementy dráhy meteoroidu:
| Vzdálenost v periheliu: | 0,615 AU |
| Excentricita: | 0,772 |
| Sklon dráhy: | 121,0° |
| Délka vzestupného uzlu: | 217,7° |
| Argument perihelia: | 97,3° |
| Střednà anomálie: | 9,6° |
| Epocha: | 2025 OCT 31 04:45:44 |
|