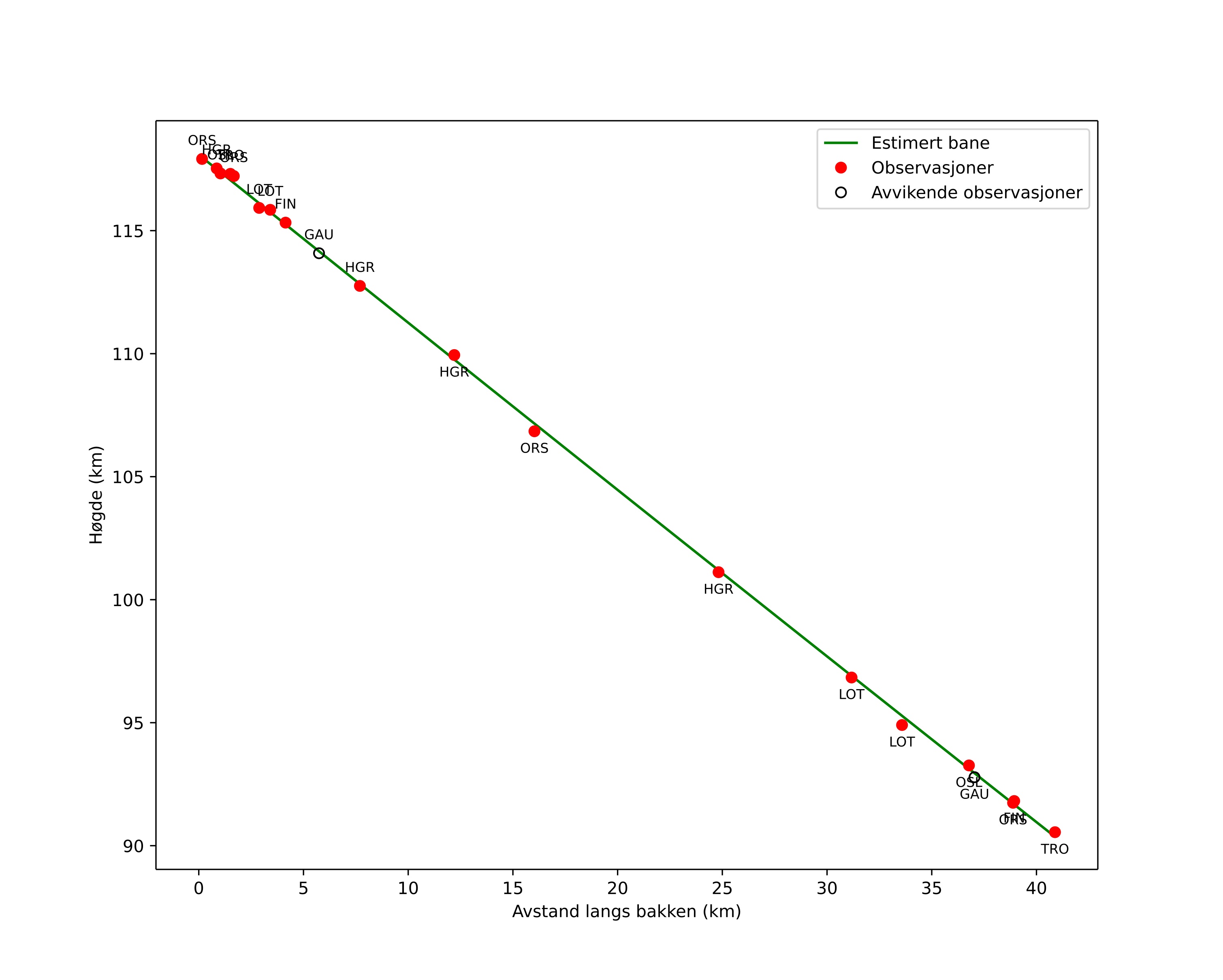
Atmosférická dráha meteoru:
| Počátečnà výška: | 118,2 km |
| Konečná výška: | 90,4 km |
| Počátečnà poloha: | 61,954N 9,129E |
| Konečná poloha: | 62,317N 9,146E |
| Směr: | 1,3° |
| Sklon: | 34,5° |
| VstupnĂ rychlost: | 60,3 km/s |
| Rektascenze radiantu: | 08:10 (122,7°) |
| Deklinace radiantu: | 6,0° |
| MeteorickĂ˝ roj: | sporadickĂ˝ |
|
Elementy dráhy meteoroidu:
| Vzdálenost v periheliu: | 0,901 AU |
| Excentricita: | 0,171 |
| Sklon dráhy: | 152,8° |
| Délka vzestupného uzlu: | 37,7° |
| Argument perihelia: | 68,7° |
| Střednà anomálie: | 308,6° |
| Epocha: | 2025 OCT 31 05:01:52 |
|