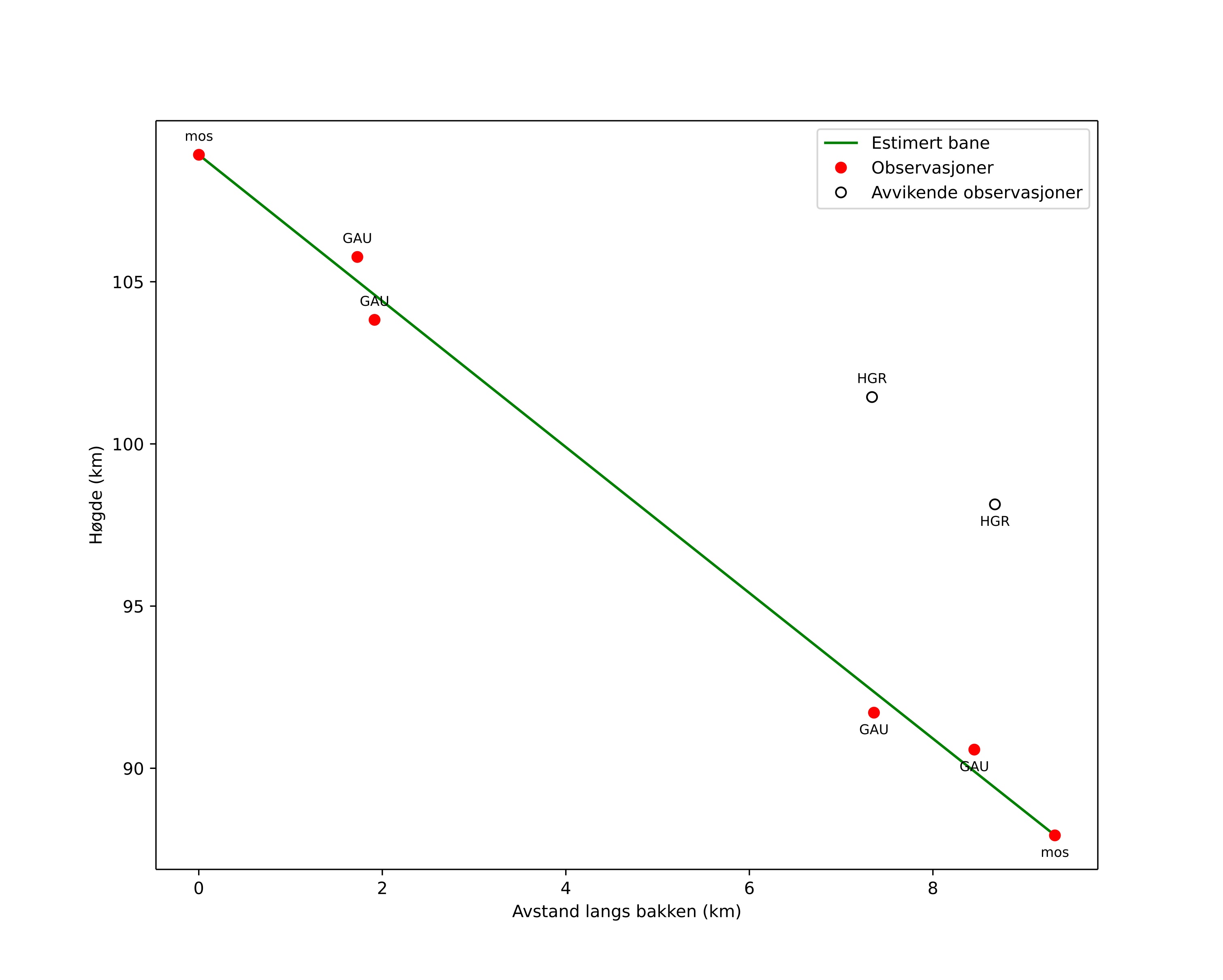
Atmosférická dráha meteoru:
| Počátečnà výška: | 108,4 km |
| Konečná výška: | 95,2 km |
| Počátečnà poloha: | 59,456N 12,388E |
| Konečná poloha: | 59,513N 12,369E |
| Směr: | 350,6° |
| Sklon: | 64,0° |
| VstupnĂ rychlost: | 14,7 km/s |
| Rektascenze radiantu: | 09:01 (135,5°) |
| Deklinace radiantu: | 28,2° |
| MeteorickĂ˝ roj: | sporadickĂ˝ |
|
Elementy dráhy meteoroidu:
| Vzdálenost v periheliu: | 0,311 AU |
| Excentricita: | 0,523 |
| Sklon dráhy: | 5,0° |
| Délka vzestupného uzlu: | 217,7° |
| Argument perihelia: | 359,7° |
| Střednà anomálie: | 180,8° |
| Epocha: | 2025 OCT 31 05:17:53 |
|