🇳🇴 🇬🇧 🇩🇪 🇨🇿 🇫🇮

Meteor over Selvik 2025-10-31 19:09:14 UTC

KML-fil  |  Interaktivt kart

Kartet viser peilingene for meteoren. De lysere linjene viser retningene fra observasjonsstedene for meteorens tilsynekomst, og de mørkere linjene viser hvor den sist kunne sees. Den blå pila viser meteorens synlige ferd.

static map
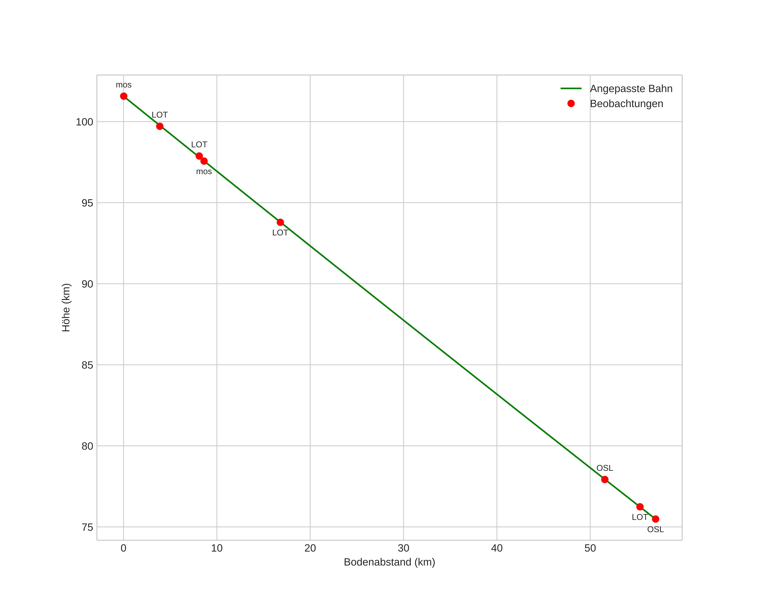
height profile
Meteorens atmosfæriske bane:
Starthøgde: 101,8 km
Slutthøgde: 74,5 km
Startposisjon: 59,510N 11,368E
Sluttposisjon: 59,566N 10,311E
Retning: 276,4°
Fallvinkel: 24,5°
Inngangshastighet: 33,3 km/s
Radiantens rektascensjon: 03:25 (51,4°)
Radiantens deklinasjon: 16,0°
Meteorsverm: Nordlige tauridene
Meteoroidens baneelement:
Perihelavstand: 0,288 AU
Eksentrisitet: 0,880
Inklinasjon: 3,8°
Knutelengde: 38,3°
Perihelargument: 121,1°
Midlere anomali: 349,4°
Epoke: 2025 OCT 31 19:09:14
orbit plot

Ikke-interaktivt plott | Interaktivt plott

position vs time
speed and acceleration

Loten (LOT) cam3


gnomonic
Videoer
• Gnomonisk
• Gnomonisk med koordinater
• Original
• Original med koordinater
Bilder
• Gnomonisk
• Gnomonisk med koordinater
• Original
• Original med koordinater
Tekstfiler
• Deteksjon
• Observasjon
• Koordinater
• Logg
Lysstyrke

Loten (LOT) cam4


gnomonic
Videoer
• Gnomonisk
• Gnomonisk med koordinater
• Original
• Original med koordinater
Bilder
• Gnomonisk
• Gnomonisk med koordinater
• Original
• Original med koordinater
Tekstfiler
• Deteksjon
• Observasjon
• Koordinater
• Logg
Lysstyrke

Moss (mos) cam7


gnomonic
Videoer
• Gnomonisk
• Gnomonisk med koordinater
• Original
• Original med koordinater
Bilder
• Gnomonisk
• Gnomonisk med koordinater
• Original
• Original med koordinater
Tekstfiler
• Deteksjon
• Observasjon
• Koordinater
• Logg
Lysstyrke

Voksenlia (OSL) cam7


gnomonic
Videoer
• Gnomonisk
• Gnomonisk med koordinater
• Original
• Original med koordinater
Bilder
• Gnomonisk
• Gnomonisk med koordinater
• Original
• Original med koordinater
Tekstfiler
• Deteksjon
• Observasjon
• Koordinater
• Logg
Lysstyrke