🇳🇴 🇬🇧 🇩🇪 🇨🇿 🇫🇮

Meteor over Tromsø 2025-10-31 21:47:36 UTC

KML-fil  |  Interaktivt kart

Kartet viser peilingene for meteoren. De lysere linjene viser retningene fra observasjonsstedene for meteorens tilsynekomst, og de mørkere linjene viser hvor den sist kunne sees. Den blå pila viser meteorens synlige ferd.

static map
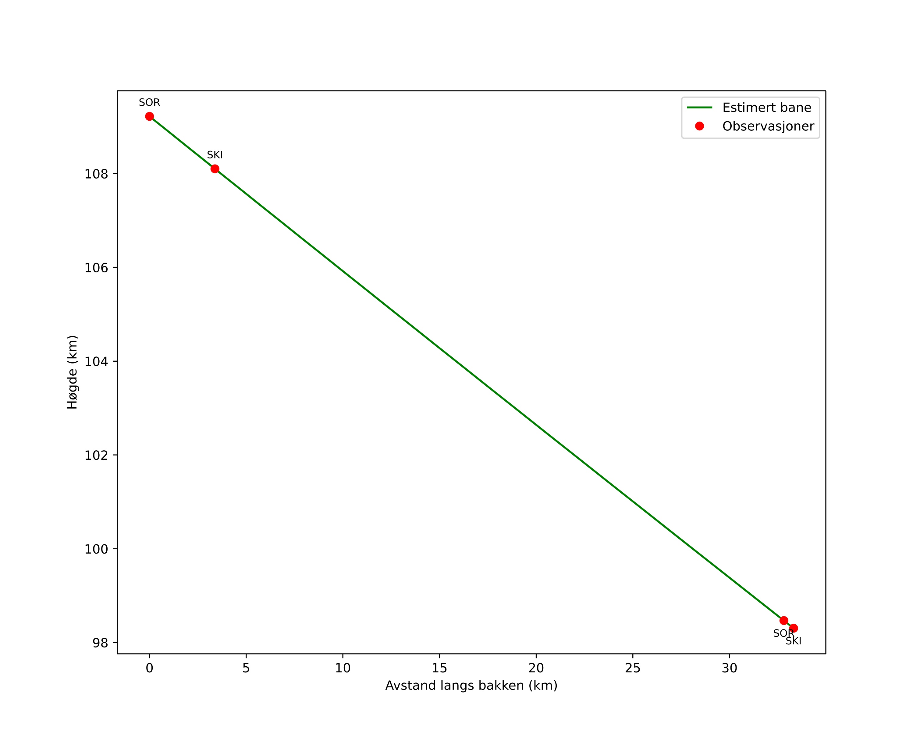
height profile
Meteorens atmosfæriske bane:
Starthøgde: 108,7 km
Slutthøgde: 98,7 km
Startposisjon: 69,684N 20,078E
Sluttposisjon: 69,721N 19,306E
Retning: 278,2°
Fallvinkel: 18,4°
Inngangshastighet: 66,2 km/s
Radiantens rektascensjon: 06:51 (103,0°)
Radiantens deklinasjon: 13,9°
Meteorsverm: Orionidene
Meteoroidens baneelement:
Perihelavstand: 0,505 AU
Eksentrisitet: 0,940
Inklinasjon: 160,1°
Knutelengde: 38,4°
Perihelargument: 90,7°
Midlere anomali: 358,4°
Epoke: 2025 OCT 31 21:47:36
orbit plot

Ikke-interaktivt plott | Interaktivt plott

position vs time
speed and acceleration

Skibotn (SKI) cam6


gnomonic
Videoer
• Gnomonisk
• Gnomonisk med koordinater
• Original
• Original med koordinater
Bilder
• Gnomonisk
• Gnomonisk med koordinater
• Original
• Original med koordinater
Tekstfiler
• Deteksjon
• Observasjon
• Koordinater
• Logg
Lysstyrke

Sorreisa (SOR) cam6


gnomonic
Videoer
• Gnomonisk
• Gnomonisk med koordinater
• Original
• Original med koordinater
Bilder
• Gnomonisk
• Gnomonisk med koordinater
• Original
• Original med koordinater
Tekstfiler
• Deteksjon
• Observasjon
• Koordinater
• Logg
Lysstyrke