🇳🇴 🇬🇧 🇩🇪 🇨🇿 🇫🇮

Meteor over Sørreisa 2025-11-01 00:58:20 UTC

KML-fil  |  Interaktivt kart

Kartet viser peilingene for meteoren. De lysere linjene viser retningene fra observasjonsstedene for meteorens tilsynekomst, og de mørkere linjene viser hvor den sist kunne sees. Den blå pila viser meteorens synlige ferd.

static map
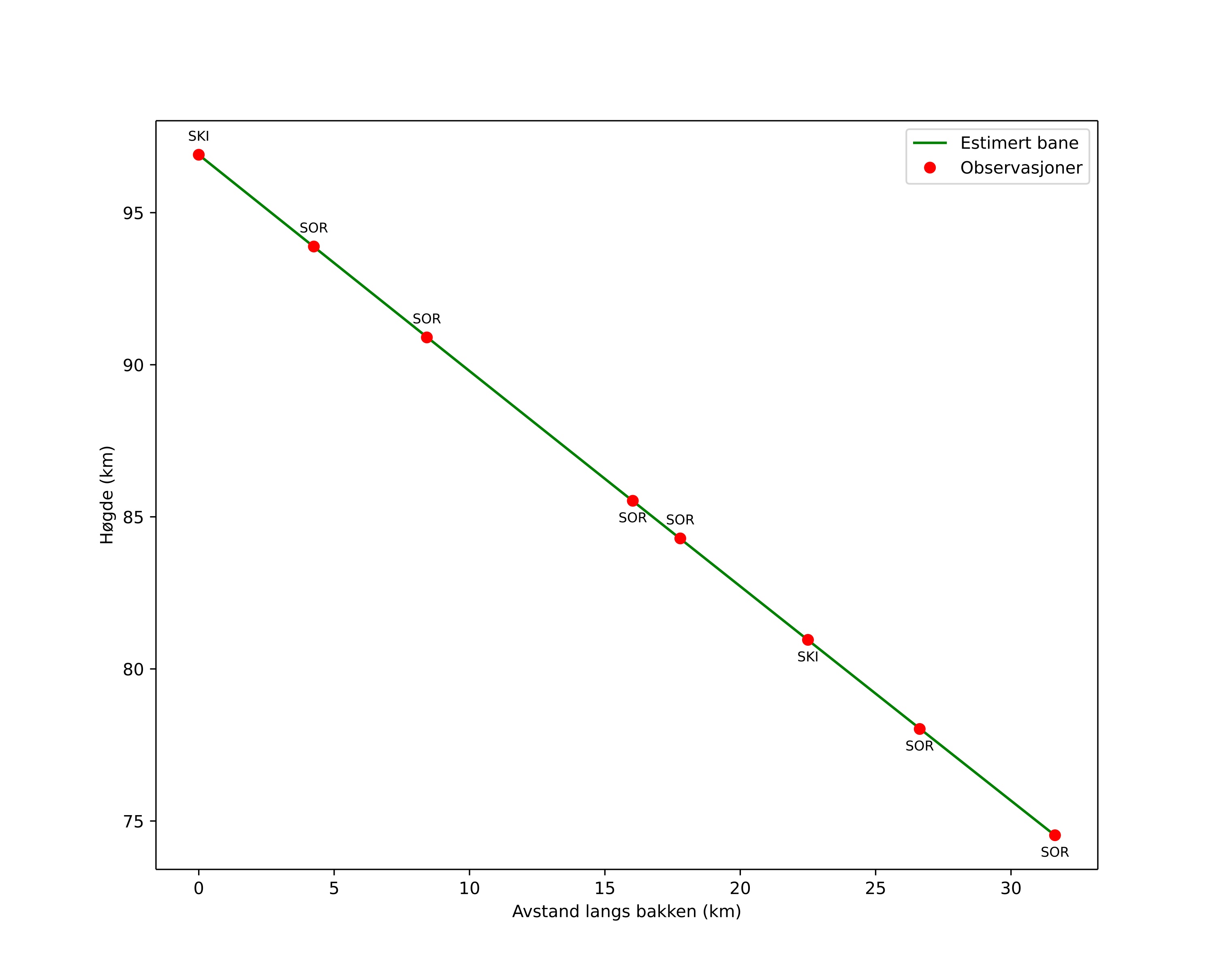
height profile
Meteorens atmosfæriske bane:
Starthøgde: 99,6 km
Slutthøgde: 74,3 km
Startposisjon: 69,009N 17,894E
Sluttposisjon: 69,297N 18,269E
Retning: 24,7°
Fallvinkel: 35,7°
Inngangshastighet: 32,1 km/s
Radiantens rektascensjon: 03:25 (51,3°)
Radiantens deklinasjon: 14,3°
Meteorsverm: Sørlige tauridene
Meteoroidens baneelement:
Perihelavstand: 0,309 AU
Eksentrisitet: 0,864
Inklinasjon: 5,7°
Knutelengde: 38,5°
Perihelargument: 119,0°
Midlere anomali: 348,3°
Epoke: 2025 NOV 01 00:58:20
orbit plot

Ikke-interaktivt plott | Interaktivt plott

position vs time
speed and acceleration

Skibotn (SKI) cam4


gnomonic
Videoer
• Gnomonisk
• Gnomonisk med koordinater
• Original
• Original med koordinater
Bilder
• Gnomonisk
• Gnomonisk med koordinater
• Original
• Original med koordinater
Tekstfiler
• Deteksjon
• Observasjon
• Koordinater
• Logg
Lysstyrke

Sorreisa (SOR) cam3


gnomonic
Videoer
• Gnomonisk
• Gnomonisk med koordinater
• Original
• Original med koordinater
Bilder
• Gnomonisk
• Gnomonisk med koordinater
• Original
• Original med koordinater
Tekstfiler
• Deteksjon
• Observasjon
• Koordinater
• Feilmeldinger
• Logg
Lysstyrke

Sorreisa (SOR) cam6


gnomonic
Videoer
• Gnomonisk
• Gnomonisk med koordinater
• Original
• Original med koordinater
Bilder
• Gnomonisk
• Gnomonisk med koordinater
• Original
• Original med koordinater
Tekstfiler
• Deteksjon
• Observasjon
• Koordinater
• Logg
Lysstyrke

Sorreisa (SOR) cam7


gnomonic
Videoer
• Gnomonisk
• Gnomonisk med koordinater
• Original
• Original med koordinater
Bilder
• Gnomonisk
• Gnomonisk med koordinater
• Original
• Original med koordinater
Tekstfiler
• Deteksjon
• Observasjon
• Koordinater
• Logg
Lysstyrke