🇳🇴 🇬🇧 🇩🇪 🇨🇿 🇫🇮

Meteor over Finnsnes 2025-11-01 23:28:41 UTC

KML-fil  |  Interaktivt kart

Kartet viser peilingene for meteoren. De lysere linjene viser retningene fra observasjonsstedene for meteorens tilsynekomst, og de mørkere linjene viser hvor den sist kunne sees. Den blå pila viser meteorens synlige ferd.

static map
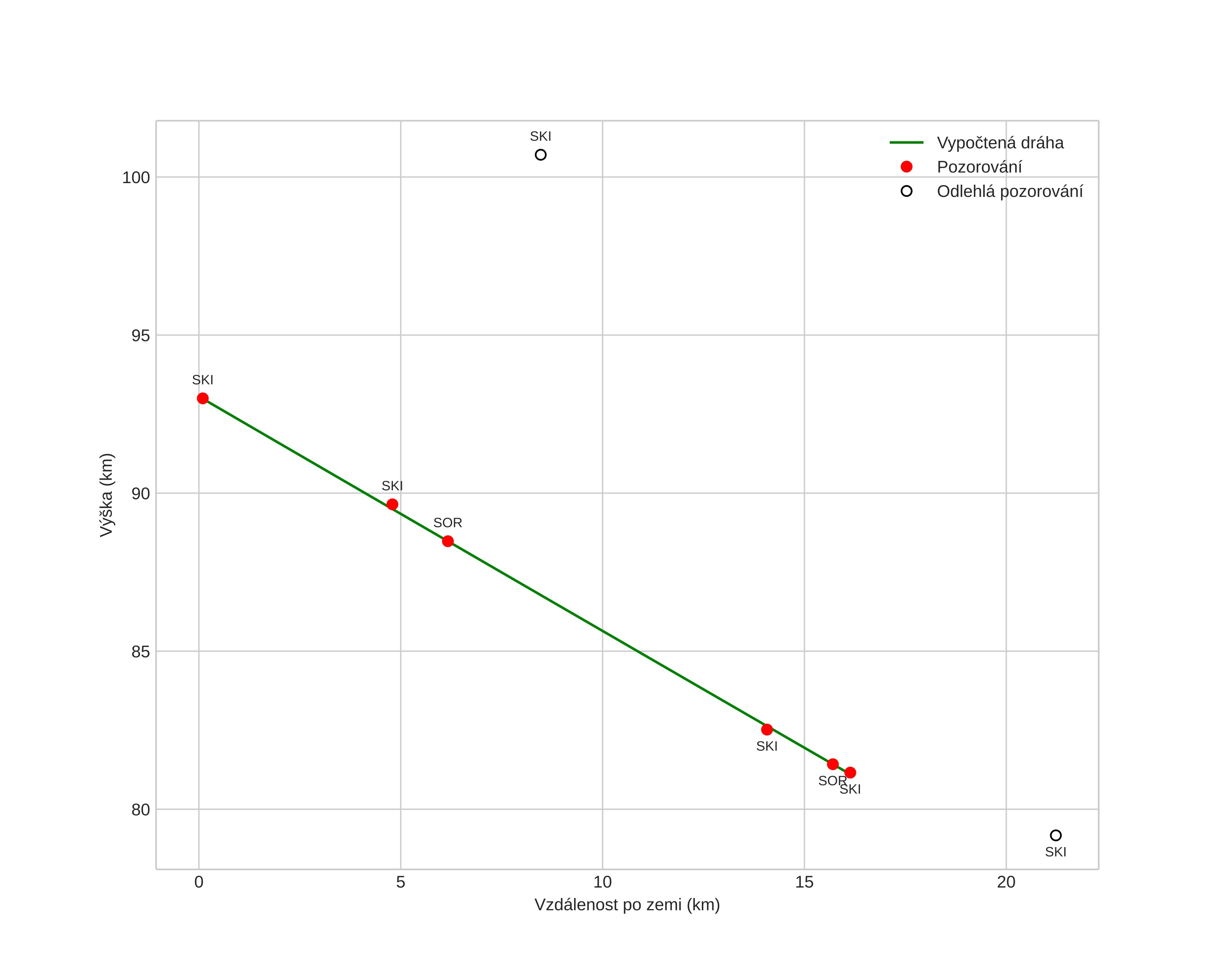
height profile
Meteorens atmosfæriske bane:
Starthøgde: 98,5 km
Slutthøgde: 77,8 km
Startposisjon: 69,706N 18,201E
Sluttposisjon: 69,959N 18,186E
Retning: 358,8°
Fallvinkel: 36,4°
Inngangshastighet: 31,8 km/s
Radiantens rektascensjon: 03:28 (52,1°)
Radiantens deklinasjon: 14,1°
Meteorsverm: Sørlige tauridene
Meteoroidens baneelement:
Perihelavstand: 0,317 AU
Eksentrisitet: 0,857
Inklinasjon: 6,0°
Knutelengde: 39,5°
Perihelargument: 118,4°
Midlere anomali: 347,7°
Epoke: 2025 NOV 01 23:28:41
orbit plot

Ikke-interaktivt plott | Interaktivt plott

position vs time
speed and acceleration

Skibotn (SKI) cam1


gnomonic
Videoer
• Gnomonisk
• Gnomonisk med koordinater
• Original
• Original med koordinater
Bilder
• Gnomonisk
• Gnomonisk med koordinater
• Original
• Original med koordinater
Tekstfiler
• Deteksjon
• Observasjon
• Koordinater
• Logg
Lysstyrke

Skibotn (SKI) cam5


gnomonic
Videoer
• Gnomonisk
• Gnomonisk med koordinater
• Original
• Original med koordinater
Bilder
• Gnomonisk
• Gnomonisk med koordinater
• Original
• Original med koordinater
Tekstfiler
• Deteksjon
• Observasjon
• Koordinater
• Logg
Lysstyrke

Skibotn (SKI) cam6


gnomonic
Videoer
• Gnomonisk
• Gnomonisk med koordinater
• Original
• Original med koordinater
Bilder
• Gnomonisk
• Gnomonisk med koordinater
• Original
• Original med koordinater
Tekstfiler
• Deteksjon
• Observasjon
• Koordinater
• Logg
Lysstyrke

Sorreisa (SOR) cam6


gnomonic
Videoer
• Gnomonisk
• Gnomonisk med koordinater
• Original
• Original med koordinater
Bilder
• Gnomonisk
• Gnomonisk med koordinater
• Original
• Original med koordinater
Tekstfiler
• Deteksjon
• Observasjon
• Koordinater
• Logg
Lysstyrke