🇳🇴 🇬🇧 🇩🇪 🇨🇿 🇫🇮

Meteor over Røyrvik 2025-11-02 23:29:32 UTC

KML-fil  |  Interaktivt kart

Kartet viser peilingene for meteoren. De lysere linjene viser retningene fra observasjonsstedene for meteorens tilsynekomst, og de mørkere linjene viser hvor den sist kunne sees. Den blå pila viser meteorens synlige ferd.

static map
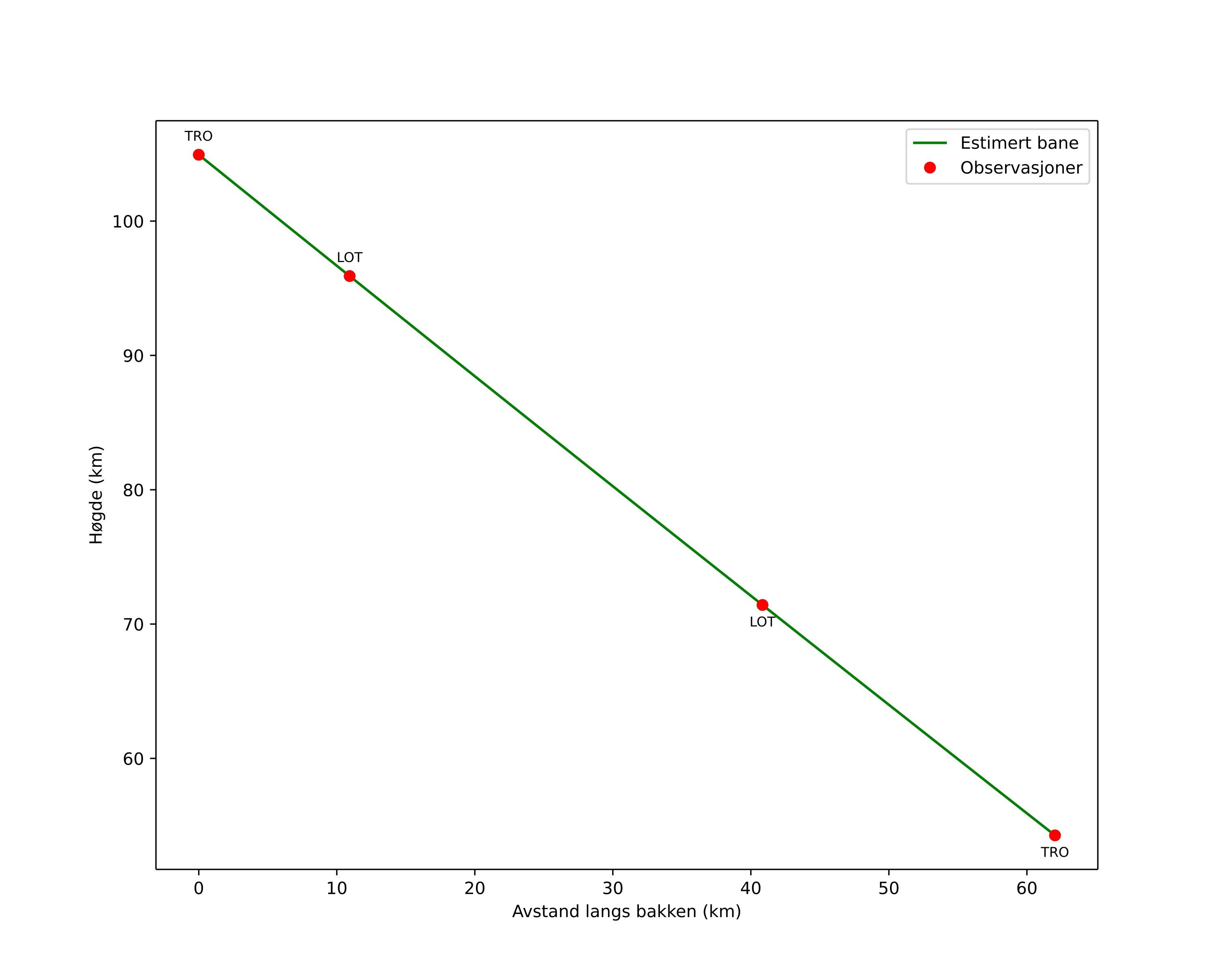
height profile
Meteorens atmosfæriske bane:
Starthøgde: 104,9 km
Slutthøgde: 54,3 km
Startposisjon: 64,261N 14,487E
Sluttposisjon: 64,819N 14,478E
Retning: 359,6°
Fallvinkel: 39,2°
Inngangshastighet: 34,1 km/s
Radiantens rektascensjon: 03:15 (48,9°)
Radiantens deklinasjon: 11,8°
Meteorsverm: Nordlige tauridene
Meteoroidens baneelement:
Perihelavstand: 0,359 AU
Eksentrisitet: 0,949
Inklinasjon: 7,8°
Knutelengde: 40,5°
Perihelargument: 108,1°
Midlere anomali: 358,0°
Epoke: 2025 NOV 02 23:29:32
orbit plot

Ikke-interaktivt plott | Interaktivt plott

position vs time
speed and acceleration

Loten (LOT) cam1


gnomonic
Videoer
• Gnomonisk
• Gnomonisk med koordinater
• Original
• Original med koordinater
Bilder
• Gnomonisk
• Gnomonisk med koordinater
• Original
• Original med koordinater
Tekstfiler
• Deteksjon
• Observasjon
• Koordinater
• Logg
Lysstyrke

Trondheim (TRO) cam1


gnomonic
Videoer
• Gnomonisk
• Gnomonisk med koordinater
• Original
• Original med koordinater
Bilder
• Gnomonisk
• Gnomonisk med koordinater
• Original
• Original med koordinater
Tekstfiler
• Deteksjon
• Observasjon
• Koordinater
• Logg
Lysstyrke