🇳🇴 🇬🇧 🇩🇪 🇨🇿 🇫🇮

Meteor over Elverum 2025-11-12 22:46:44 UTC

KML-fil  |  Interaktivt kart

Kartet viser peilingene for meteoren. De lysere linjene viser retningene fra observasjonsstedene for meteorens tilsynekomst, og de mørkere linjene viser hvor den sist kunne sees. Den blå pila viser meteorens synlige ferd.

static map
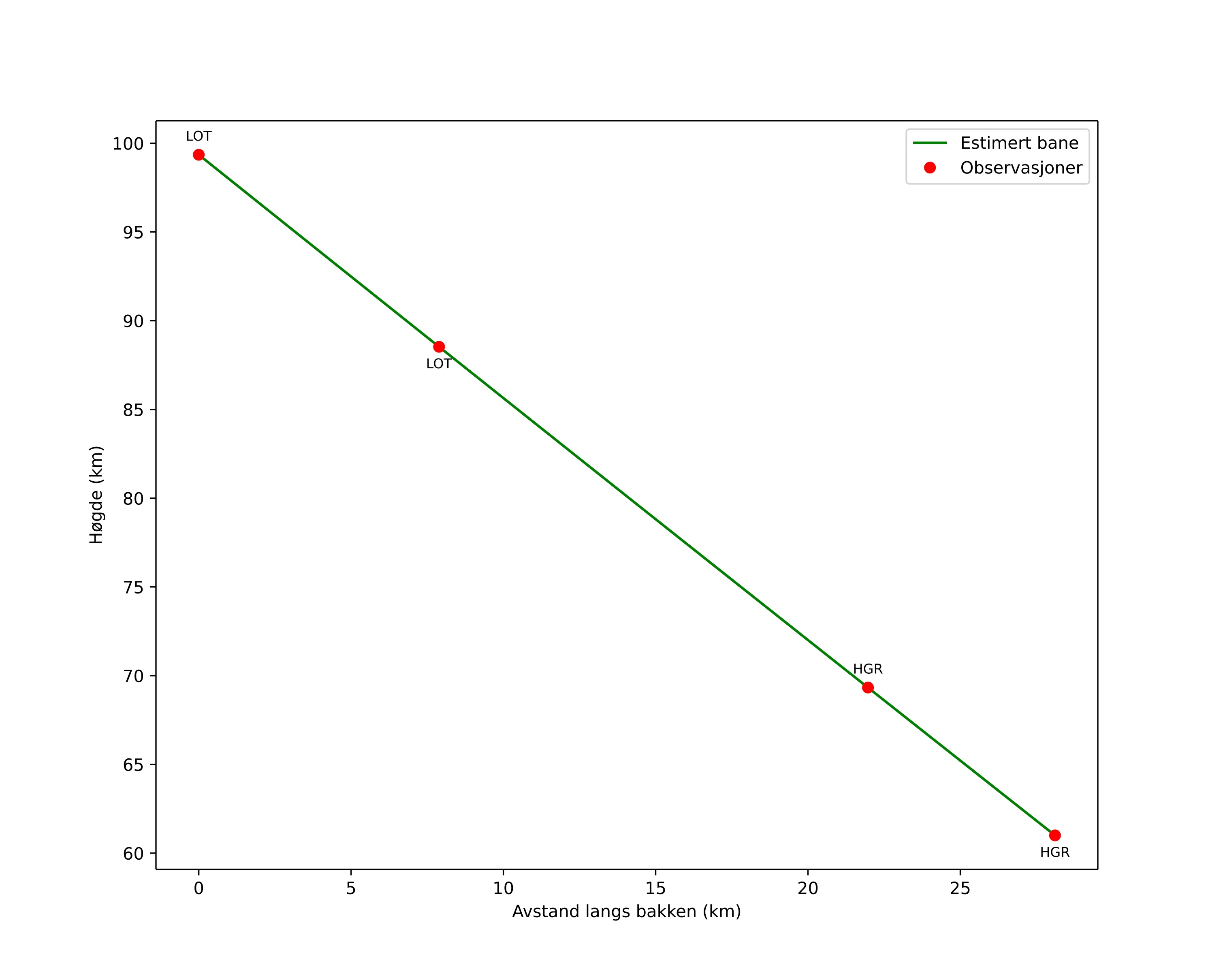
height profile
Meteorens atmosfæriske bane:
Starthøgde: 100,6 km
Slutthøgde: 68,9 km
Startposisjon: 60,689N 11,888E
Sluttposisjon: 60,872N 11,721E
Retning: 336,0°
Fallvinkel: 54,9°
Inngangshastighet: 34,3 km/s
Radiantens rektascensjon: 04:01 (60,4°)
Radiantens deklinasjon: 26,1°
Meteorsverm: Nordlige tauridene
Meteoroidens baneelement:
Perihelavstand: 0,304 AU
Eksentrisitet: 0,914
Inklinasjon: 7,5°
Knutelengde: 230,4°
Perihelargument: 296,8°
Midlere anomali: 354,2°
Epoke: 2025 NOV 12 22:46:44
orbit plot

Ikke-interaktivt plott | Interaktivt plott

position vs time
speed and acceleration

Hagar (HGR) cam3


gnomonic
Videoer
• Gnomonisk
• Gnomonisk med koordinater
• Original
• Original med koordinater
Bilder
• Gnomonisk
• Gnomonisk med koordinater
• Original
• Original med koordinater
Tekstfiler
• Deteksjon
• Observasjon
• Koordinater
• Logg
Lysstyrke

Loten (LOT) cam7


gnomonic
Videoer
• Gnomonisk
• Gnomonisk med koordinater
• Original
• Original med koordinater
Bilder
• Gnomonisk
• Gnomonisk med koordinater
• Original
• Original med koordinater
Tekstfiler
• Deteksjon
• Observasjon
• Koordinater
• Logg
Lysstyrke