🇳🇴 🇬🇧 🇩🇪 🇨🇿 🇫🇮

Meteor over Kirkenær 2025-11-13 05:16:23 UTC

KML-fil  |  Interaktivt kart

Kartet viser peilingene for meteoren. De lysere linjene viser retningene fra observasjonsstedene for meteorens tilsynekomst, og de mørkere linjene viser hvor den sist kunne sees. Den blå pila viser meteorens synlige ferd.

static map
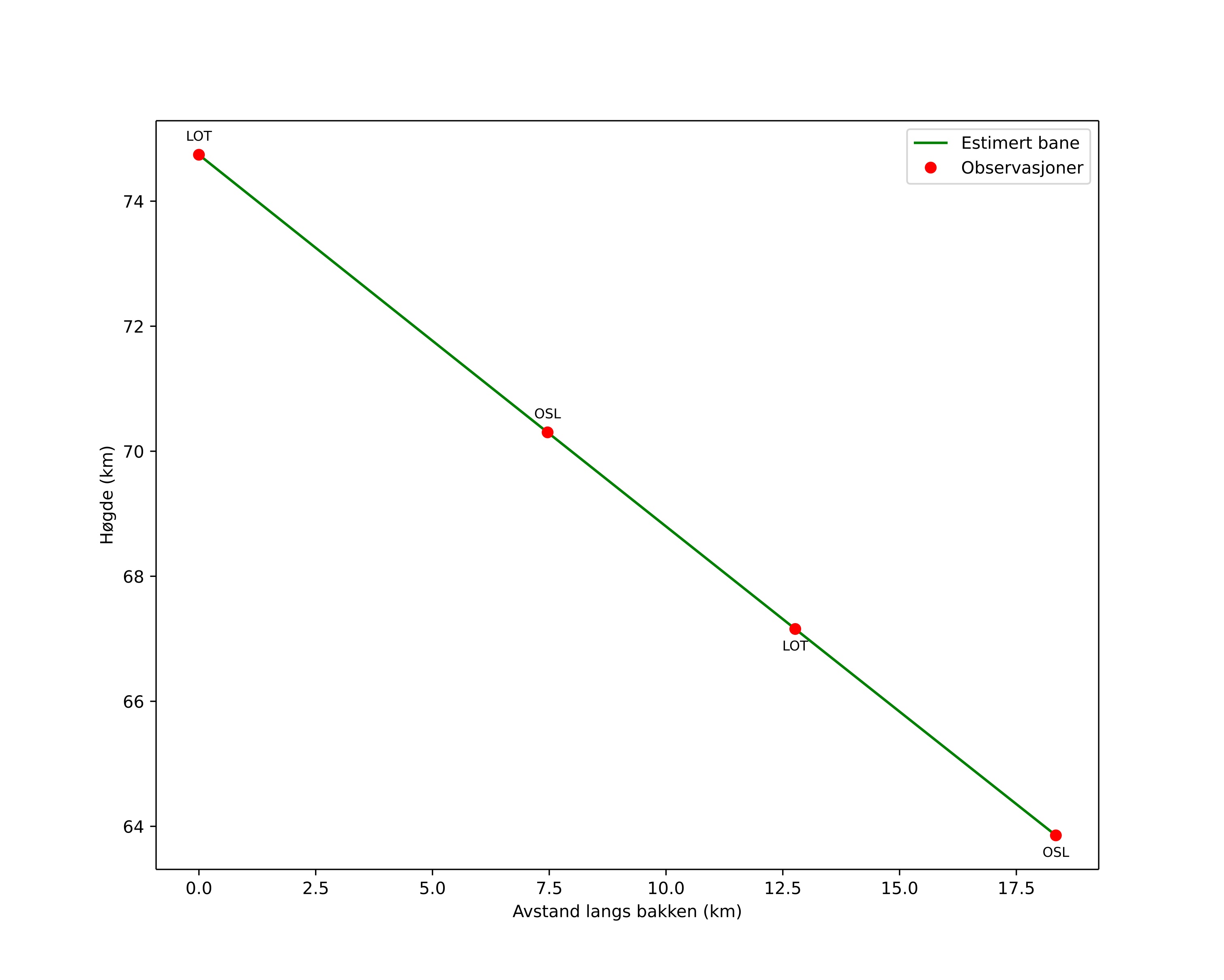
height profile
Meteorens atmosfæriske bane:
Starthøgde: 74,6 km
Slutthøgde: 62,9 km
Startposisjon: 60,551N 11,743E
Sluttposisjon: 60,395N 11,931E
Retning: 149,2°
Fallvinkel: 30,1°
Inngangshastighet: 20,8 km/s
Radiantens rektascensjon: 00:32 (8,2°)
Radiantens deklinasjon: 47,8°
Meteorsverm: sporadisk
Meteoroidens baneelement:
Perihelavstand: 0,858 AU
Eksentrisitet: 0,738
Inklinasjon: 18,0°
Knutelengde: 230,7°
Perihelargument: 226,7°
Midlere anomali: 354,7°
Epoke: 2025 NOV 13 05:16:23
orbit plot

Ikke-interaktivt plott | Interaktivt plott

position vs time
speed and acceleration

Loten (LOT) cam7


gnomonic
Videoer
• Gnomonisk
• Gnomonisk med koordinater
• Original
• Original med koordinater
Bilder
• Gnomonisk
• Gnomonisk med koordinater
• Original
• Original med koordinater
Tekstfiler
• Deteksjon
• Observasjon
• Koordinater
• Logg
Lysstyrke

Voksenlia (OSL) cam5


gnomonic
Videoer
• Gnomonisk
• Gnomonisk med koordinater
• Original
• Original med koordinater
Bilder
• Gnomonisk
• Gnomonisk med koordinater
• Original
• Original med koordinater
Tekstfiler
• Deteksjon
• Observasjon
• Koordinater
• Logg
Lysstyrke