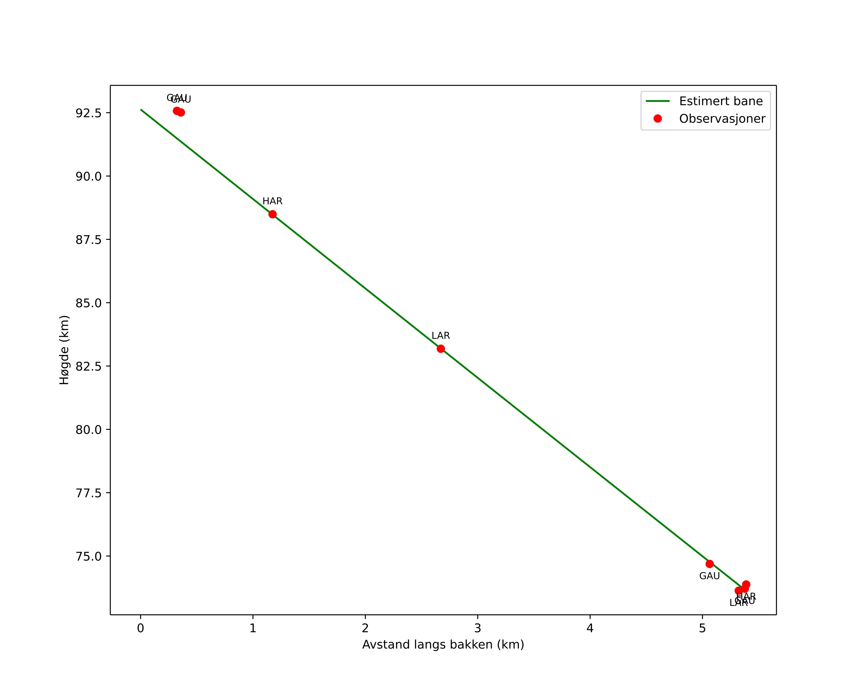
Atmosférická dráha meteoru:
| Počátečnà výška: | 92,7 km |
| Konečná výška: | 73,5 km |
| Počátečnà poloha: | 58,677N 9,224E |
| Konečná poloha: | 58,650N 9,303E |
| Směr: | 122,7° |
| Sklon: | 74,2° |
| VstupnĂ rychlost: | 23,3 km/s |
| Rektascenze radiantu: | 21:08 (317,1°) |
| Deklinace radiantu: | 63,5° |
| MeteorickĂ˝ roj: | sporadickĂ˝ |
|
Elementy dráhy meteoroidu:
| Vzdálenost v periheliu: | 0,965 AU |
| Excentricita: | 0,777 |
| Sklon dráhy: | 29,4° |
| Délka vzestupného uzlu: | 231,3° |
| Argument perihelia: | 199,2° |
| Střednà anomálie: | 358,5° |
| Epocha: | 2025 NOV 13 19:18:51 |
|