🇳🇴 🇬🇧 🇩🇪 🇨🇿 🇫🇮

Meteor over Innbygda 2025-11-13 19:58:16 UTC

KML-fil  |  Interaktivt kart

Kartet viser peilingene for meteoren. De lysere linjene viser retningene fra observasjonsstedene for meteorens tilsynekomst, og de mørkere linjene viser hvor den sist kunne sees. Den blå pila viser meteorens synlige ferd.

static map
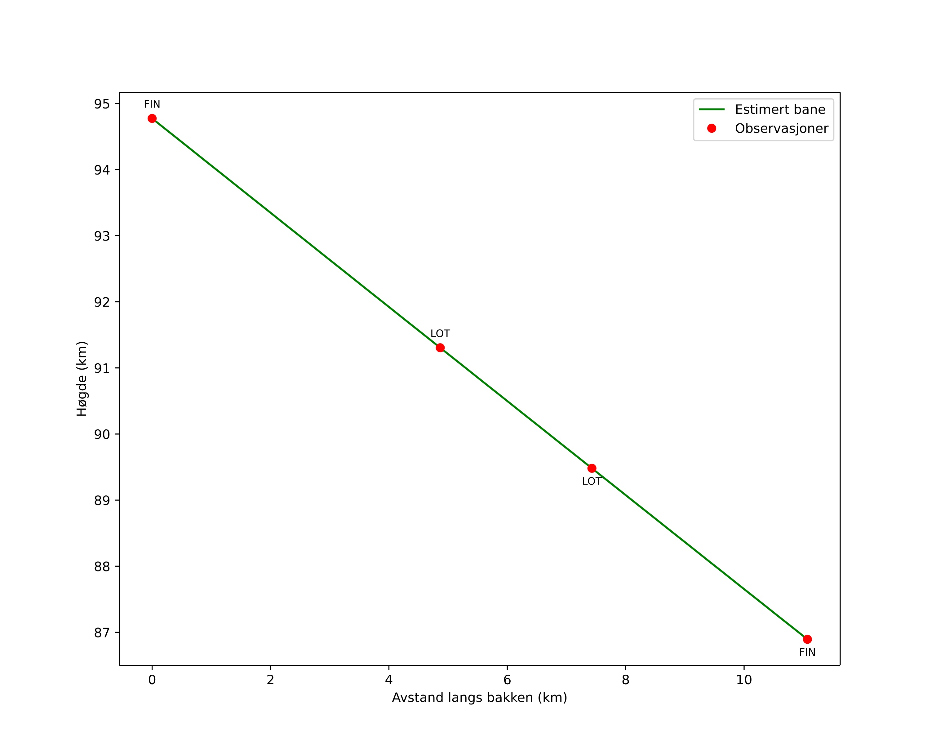
height profile
Meteorens atmosfæriske bane:
Starthøgde: 94,7 km
Slutthøgde: 86,6 km
Startposisjon: 60,988N 13,193E
Sluttposisjon: 61,027N 12,996E
Retning: 292,3°
Fallvinkel: 35,3°
Inngangshastighet: 27,7 km/s
Radiantens rektascensjon: 04:01 (60,4°)
Radiantens deklinasjon: 18,5°
Meteorsverm: Sørlige tauridene
Meteoroidens baneelement:
Perihelavstand: 0,405 AU
Eksentrisitet: 0,765
Inklinasjon: 2,1°
Knutelengde: 51,4°
Perihelargument: 111,2°
Midlere anomali: 340,3°
Epoke: 2025 NOV 13 19:58:16
orbit plot

Ikke-interaktivt plott | Interaktivt plott

position vs time
speed and acceleration

Finnskogen (FIN) cam7


gnomonic
Videoer
• Gnomonisk
• Gnomonisk med koordinater
• Original
• Original med koordinater
Bilder
• Gnomonisk
• Gnomonisk med koordinater
• Original
• Original med koordinater
Tekstfiler
• Deteksjon
• Observasjon
• Koordinater
• Logg
Lysstyrke

Loten (LOT) cam2


gnomonic
Videoer
• Gnomonisk
• Gnomonisk med koordinater
• Original
• Original med koordinater
Bilder
• Gnomonisk
• Gnomonisk med koordinater
• Original
• Original med koordinater
Tekstfiler
• Deteksjon
• Observasjon
• Koordinater
• Logg
Lysstyrke