🇳🇴 🇬🇧 🇩🇪 🇨🇿 🇫🇮

Meteor over Bruflat 2025-11-13 20:20:15 UTC

KML-fil  |  Interaktivt kart

Kartet viser peilingene for meteoren. De lysere linjene viser retningene fra observasjonsstedene for meteorens tilsynekomst, og de mørkere linjene viser hvor den sist kunne sees. Den blå pila viser meteorens synlige ferd.

static map
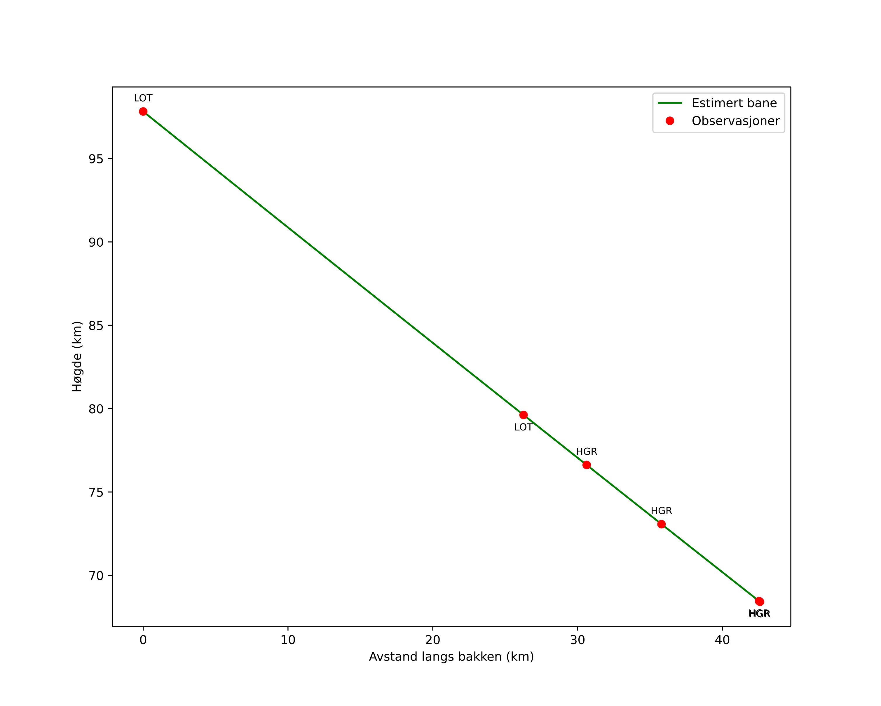
height profile
Meteorens atmosfæriske bane:
Starthøgde: 101,2 km
Slutthøgde: 68,4 km
Startposisjon: 60,892N 10,254E
Sluttposisjon: 61,090N 9,477E
Retning: 298,0°
Fallvinkel: 34,8°
Inngangshastighet: 29,4 km/s
Radiantens rektascensjon: 03:54 (58,5°)
Radiantens deklinasjon: 16,0°
Meteorsverm: Sørlige tauridene
Meteoroidens baneelement:
Perihelavstand: 0,416 AU
Eksentrisitet: 0,824
Inklinasjon: 4,3°
Knutelengde: 51,4°
Perihelargument: 106,4°
Midlere anomali: 348,3°
Epoke: 2025 NOV 13 20:20:15
orbit plot

Ikke-interaktivt plott | Interaktivt plott

position vs time
speed and acceleration

Hagar (HGR) cam1


gnomonic
Videoer
• Gnomonisk
• Gnomonisk med koordinater
• Original
• Original med koordinater
Bilder
• Gnomonisk
• Gnomonisk med koordinater
• Original
• Original med koordinater
Tekstfiler
• Deteksjon
• Observasjon
• Koordinater
• Logg
Lysstyrke

Hagar (HGR) cam2


gnomonic
Videoer
• Gnomonisk
• Gnomonisk med koordinater
• Original
• Original med koordinater
Bilder
• Gnomonisk
• Gnomonisk med koordinater
• Original
• Original med koordinater
Tekstfiler
• Deteksjon
• Observasjon
• Koordinater
• Logg
Lysstyrke

Loten (LOT) cam6


gnomonic
Videoer
• Gnomonisk
• Gnomonisk med koordinater
• Original
• Original med koordinater
Bilder
• Gnomonisk
• Gnomonisk med koordinater
• Original
• Original med koordinater
Tekstfiler
• Deteksjon
• Observasjon
• Koordinater
• Logg
Lysstyrke