🇳🇴 🇬🇧 🇩🇪 🇨🇿 🇫🇮

Meteor over Malung 2025-11-13 21:39:43 UTC

KML-fil  |  Interaktivt kart

Kartet viser peilingene for meteoren. De lysere linjene viser retningene fra observasjonsstedene for meteorens tilsynekomst, og de mørkere linjene viser hvor den sist kunne sees. Den blå pila viser meteorens synlige ferd.

static map
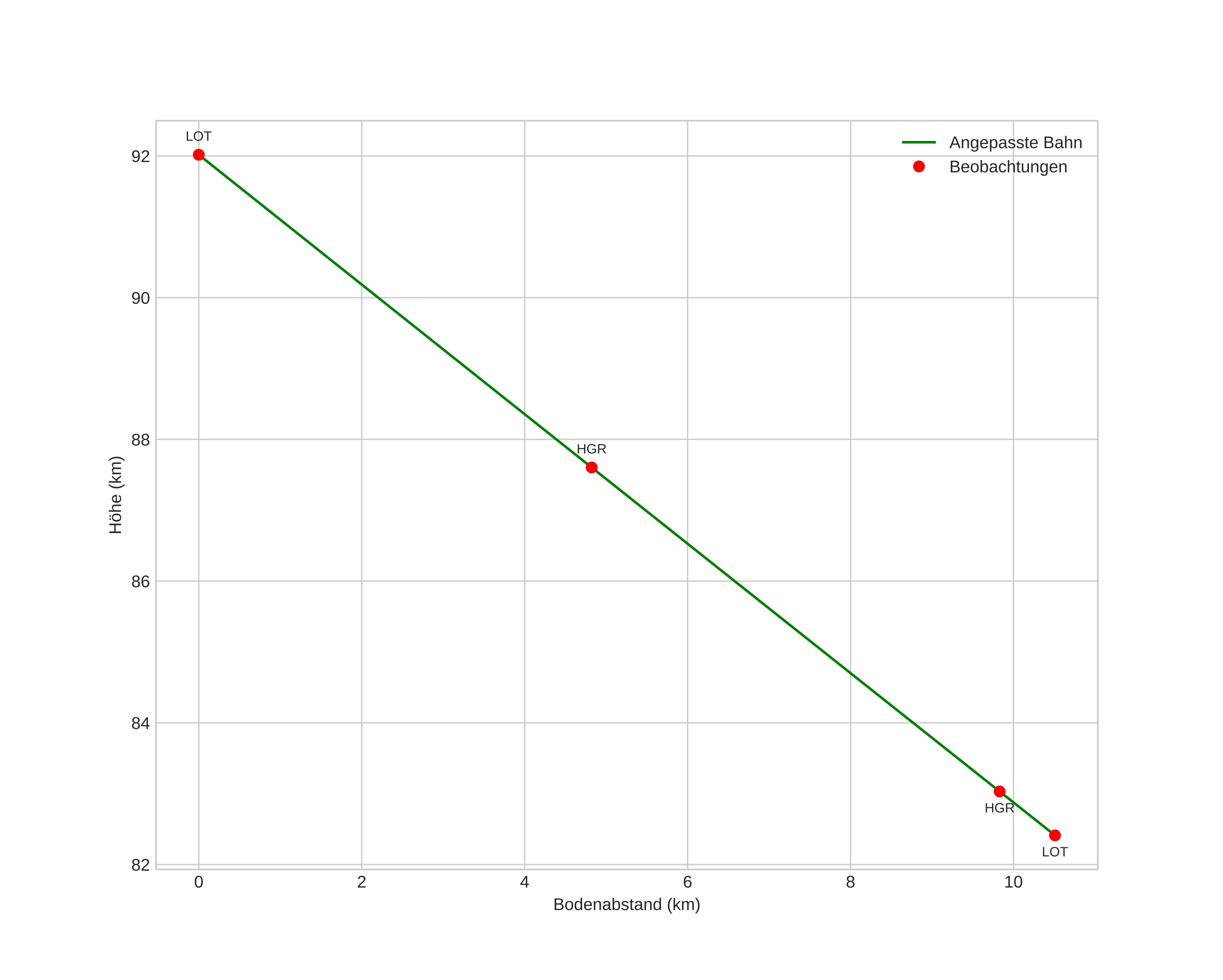
height profile
Meteorens atmosfæriske bane:
Starthøgde: 92,5 km
Slutthøgde: 81,9 km
Startposisjon: 60,514N 13,863E
Sluttposisjon: 60,612N 13,811E
Retning: 345,5°
Fallvinkel: 43,4°
Inngangshastighet: 20,0 km/s
Radiantens rektascensjon: 02:49 (42,3°)
Radiantens deklinasjon: 9,9°
Meteorsverm: sporadisk
Meteoroidens baneelement:
Perihelavstand: 0,717 AU
Eksentrisitet: 0,633
Inklinasjon: 3,1°
Knutelengde: 51,5°
Perihelargument: 73,0°
Midlere anomali: 344,0°
Epoke: 2025 NOV 13 21:39:43
orbit plot

Ikke-interaktivt plott | Interaktivt plott

position vs time
speed and acceleration

Hagar (HGR) cam3


gnomonic
Videoer
• Gnomonisk
• Gnomonisk med koordinater
• Original
• Original med koordinater
Bilder
• Gnomonisk
• Gnomonisk med koordinater
• Original
• Original med koordinater
Tekstfiler
• Deteksjon
• Observasjon
• Koordinater
• Logg
Lysstyrke

Loten (LOT) cam2


gnomonic
Videoer
• Gnomonisk
• Gnomonisk med koordinater
• Original
• Original med koordinater
Bilder
• Gnomonisk
• Gnomonisk med koordinater
• Original
• Original med koordinater
Tekstfiler
• Deteksjon
• Observasjon
• Koordinater
• Logg
Lysstyrke