Atmosférická dráha meteoru:
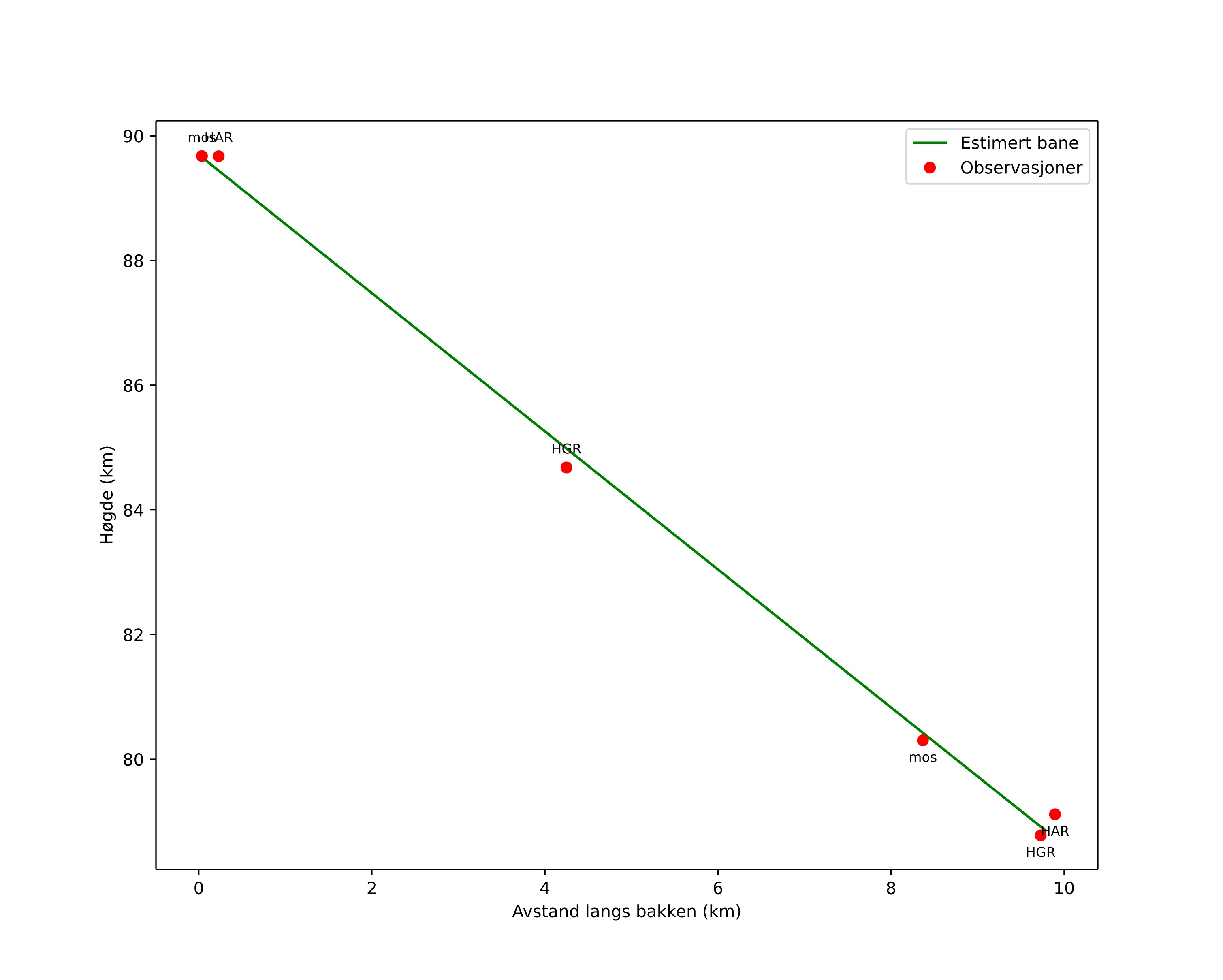
| Počátečnà výška: | 95,1 km |
| Konečná výška: | 78,3 km |
| Počátečnà poloha: | 59,509N 12,308E |
| Konečná poloha: | 59,641N 12,362E |
| Směr: | 11,7° |
| Sklon: | 48,4° |
| VstupnĂ rychlost: | 27,5 km/s |
| Rektascenze radiantu: | 04:01 (60,4°) |
| Deklinace radiantu: | 16,2° |
| MeteorickĂ˝ roj: | JiĹľnĂ Tauridy |
|
Elementy dráhy meteoroidu:
| Vzdálenost v periheliu: | 0,415 AU |
| Excentricita: | 0,767 |
| Sklon dráhy: | 4,3° |
| Délka vzestupného uzlu: | 51,6° |
| Argument perihelia: | 109,6° |
| Střednà anomálie: | 341,2° |
| Epocha: | 2025 NOV 14 00:16:20 |
|