Atmosférická dráha meteoru:
| Počátečnà výška: | 97,3 km |
| Konečná výška: | 82,0 km |
| Počátečnà poloha: | 59,661N 15,588E |
| Konečná poloha: | 59,580N 15,382E |
| Směr: | 231,9° |
| Sklon: | 46,1° |
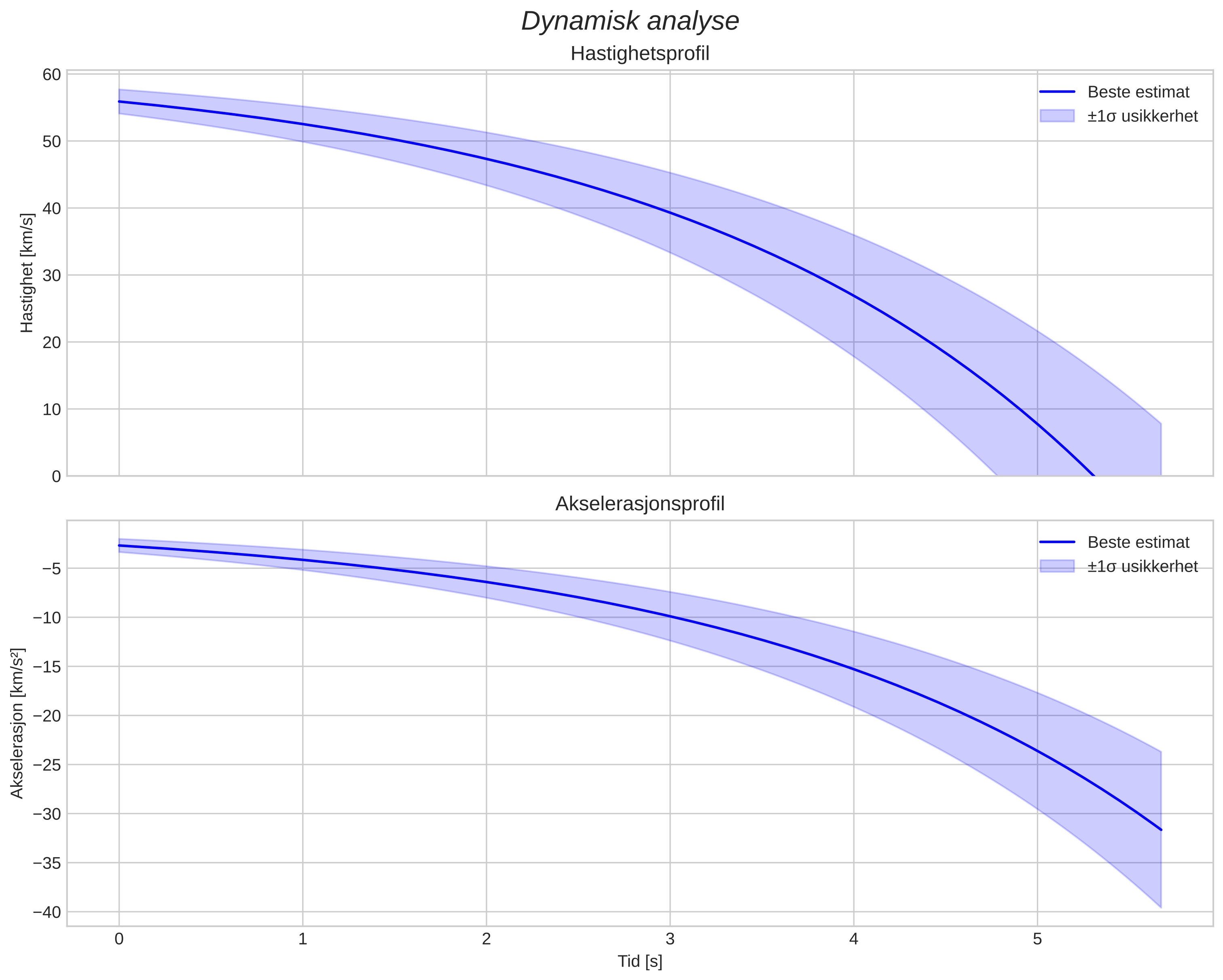
| VstupnĂ rychlost: | 55,7 km/s |
| Rektascenze radiantu: | 11:07 (166,9°) |
| Deklinace radiantu: | 56,9° |
| MeteorickĂ˝ roj: | sporadickĂ˝ |
|
Elementy dráhy meteoroidu:
| Vzdálenost v periheliu: | 0,988 AU |
| Excentricita: | 0,775 |
| Sklon dráhy: | 101,1° |
| Délka vzestupného uzlu: | 231,5° |
| Argument perihelia: | 184,6° |
| Střednà anomálie: | 359,6° |
| Epocha: | 2025 NOV 14 00:29:30 |
|