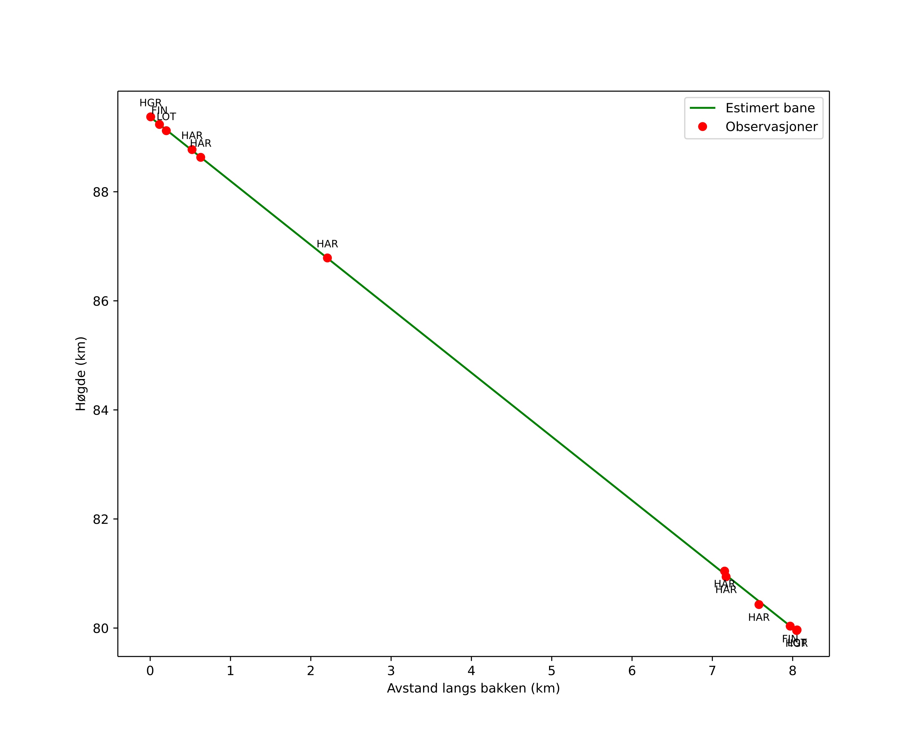
Atmosférická dráha meteoru:
| Počátečnà výška: | 89,7 km |
| Konečná výška: | 79,3 km |
| Počátečnà poloha: | 60,929N 12,317E |
| Konečná poloha: | 61,001N 12,379E |
| Směr: | 22,8° |
| Sklon: | 50,3° |
| VstupnĂ rychlost: | 33,4 km/s |
| Rektascenze radiantu: | 04:11 (62,9°) |
| Deklinace radiantu: | 21,4° |
| MeteorickĂ˝ roj: | SevernĂ Tauridy |
|
Elementy dráhy meteoroidu:
| Vzdálenost v periheliu: | 0,303 AU |
| Excentricita: | 0,895 |
| Sklon dráhy: | 0,4° |
| Délka vzestupného uzlu: | 231,1° |
| Argument perihelia: | 298,4° |
| Střednà anomálie: | 352,1° |
| Epocha: | 2025 NOV 14 00:55:33 |
|