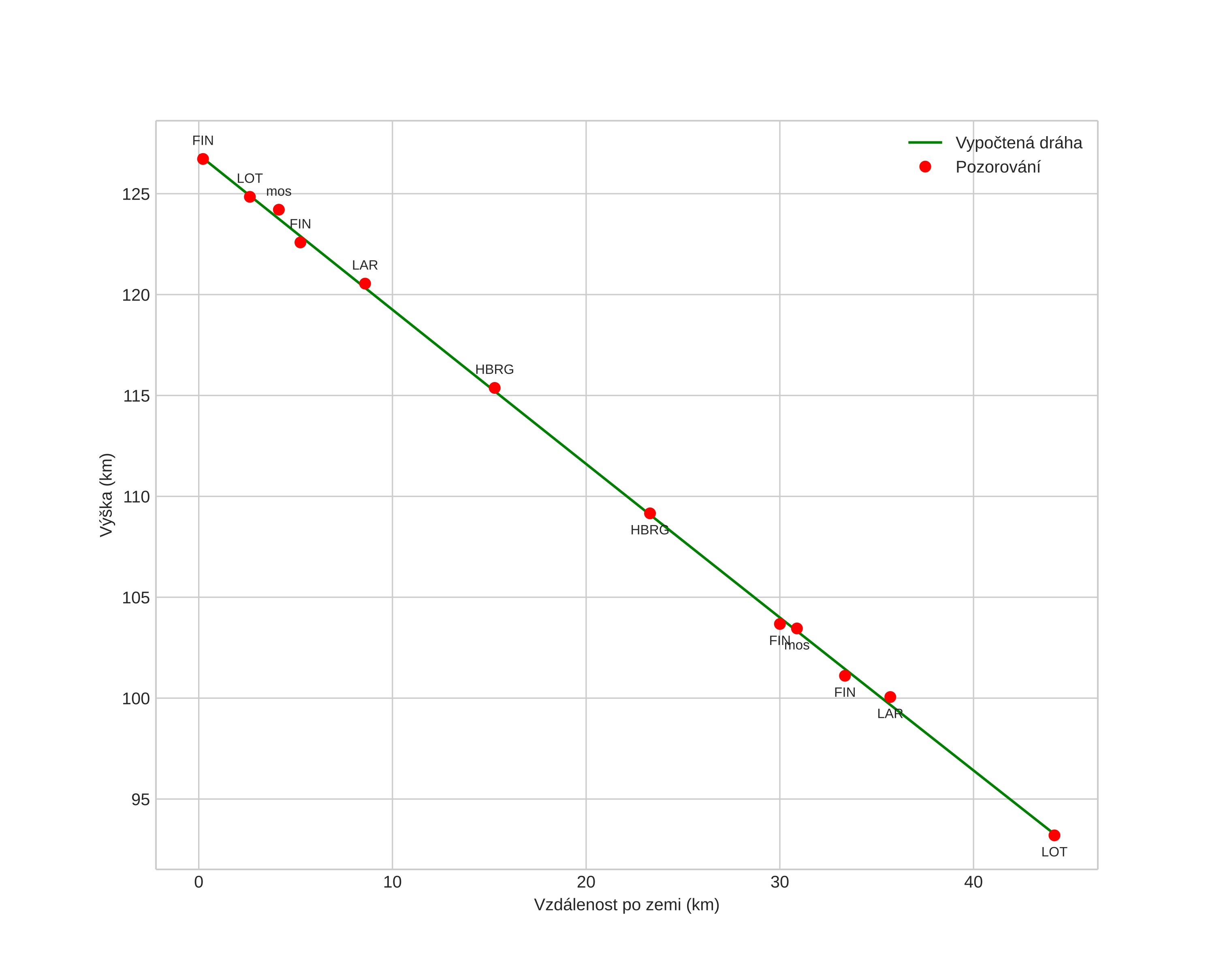
Atmosférická dráha meteoru:
| Počátečnà výška: | 127,0 km |
| Konečná výška: | 91,9 km |
| Počátečnà poloha: | 60,132N 13,660E |
| Konečná poloha: | 60,256N 12,864E |
| Směr: | 287,8° |
| Sklon: | 37,3° |
| VstupnĂ rychlost: | 65,2 km/s |
| Rektascenze radiantu: | 10:06 (151,7°) |
| Deklinace radiantu: | 23,6° |
| MeteorickĂ˝ roj: | Leonidy |
|
Elementy dráhy meteoroidu:
| Vzdálenost v periheliu: | 0,969 AU |
| Excentricita: | 0,384 |
| Sklon dráhy: | 159,1° |
| Délka vzestupného uzlu: | 231,6° |
| Argument perihelia: | 157,9° |
| Střednà anomálie: | 9,2° |
| Epocha: | 2025 NOV 14 01:56:29 |
|