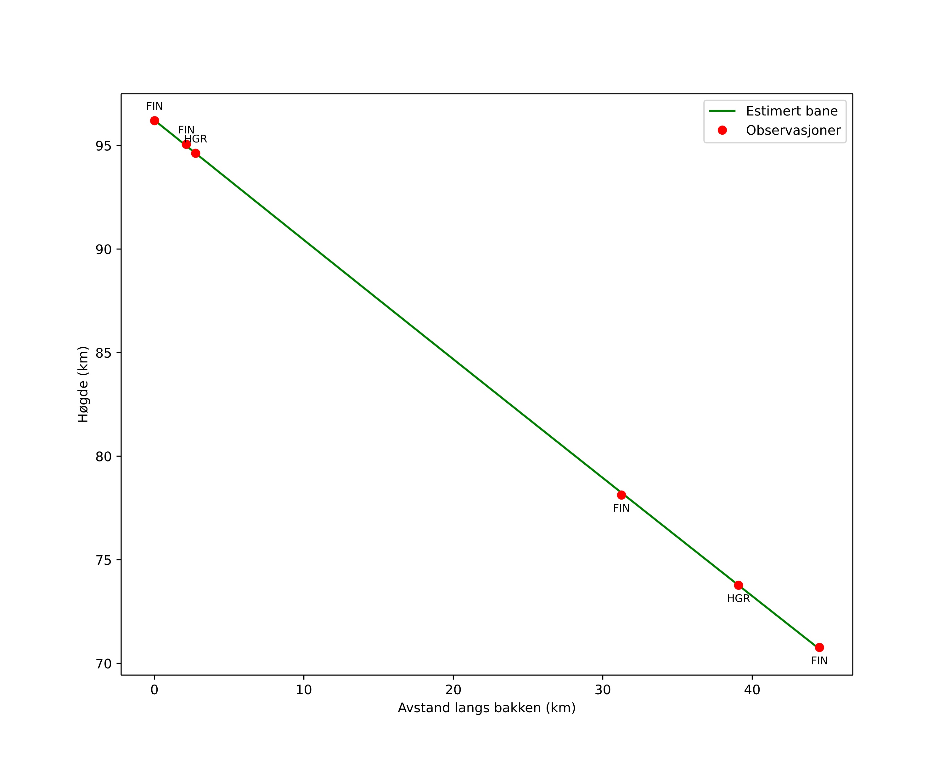
Atmosférická dráha meteoru:
| Počátečnà výška: | 97,0 km |
| Konečná výška: | 70,6 km |
| Počátečnà poloha: | 62,811N 9,236E |
| Konečná poloha: | 62,961N 10,072E |
| Směr: | 68,2° |
| Sklon: | 30,1° |
| VstupnĂ rychlost: | 27,4 km/s |
| Rektascenze radiantu: | 03:53 (58,5°) |
| Deklinace radiantu: | 14,6° |
| MeteorickĂ˝ roj: | JiĹľnĂ Tauridy |
|
Elementy dráhy meteoroidu:
| Vzdálenost v periheliu: | 0,446 AU |
| Excentricita: | 0,780 |
| Sklon dráhy: | 5,2° |
| Délka vzestupného uzlu: | 51,7° |
| Argument perihelia: | 104,7° |
| Střednà anomálie: | 344,7° |
| Epocha: | 2025 NOV 14 03:40:23 |
|