🇳🇴 🇬🇧 🇩🇪 🇨🇿 🇫🇮

Meteor over LÃ¥ngshyttan 2025-11-14 03:41:16 UTC

KML-fil  |  Interaktivt kart

Kartet viser peilingene for meteoren. De lysere linjene viser retningene fra observasjonsstedene for meteorens tilsynekomst, og de mørkere linjene viser hvor den sist kunne sees. Den blå pila viser meteorens synlige ferd.

static map
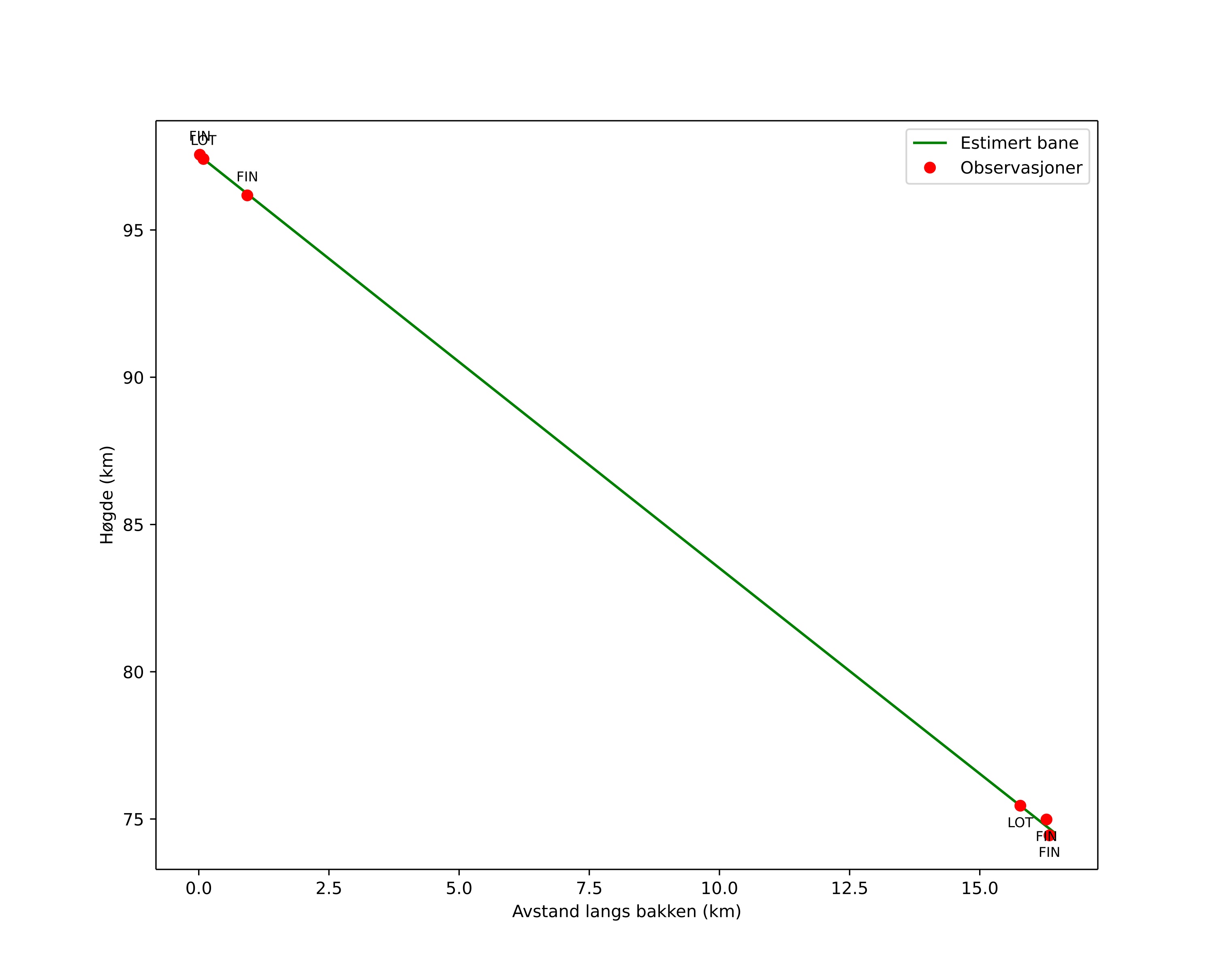
height profile
Meteorens atmosfæriske bane:
Starthøgde: 99,8 km
Slutthøgde: 74,3 km
Startposisjon: 60,577N 16,253E
Sluttposisjon: 60,466N 16,006E
Retning: 227,6°
Fallvinkel: 54,3°
Inngangshastighet: 39,6 km/s
Radiantens rektascensjon: 13:53 (208,4°)
Radiantens deklinasjon: 64,2°
Meteorsverm: sporadisk
Meteoroidens baneelement:
Perihelavstand: 0,977 AU
Eksentrisitet: 0,586
Inklinasjon: 66,8°
Knutelengde: 231,7°
Perihelargument: 165,1°
Midlere anomali: 3,2°
Epoke: 2025 NOV 14 03:41:16
orbit plot

Ikke-interaktivt plott | Interaktivt plott

position vs time
speed and acceleration

Finnskogen (FIN) cam2


gnomonic
Videoer
• Gnomonisk
• Gnomonisk med koordinater
• Original
• Original med koordinater
Bilder
• Gnomonisk
• Gnomonisk med koordinater
• Original
• Original med koordinater
Tekstfiler
• Deteksjon
• Observasjon
• Koordinater
• Logg
Lysstyrke

Finnskogen (FIN) cam3


gnomonic
Videoer
• Gnomonisk
• Gnomonisk med koordinater
• Original
• Original med koordinater
Bilder
• Gnomonisk
• Gnomonisk med koordinater
• Original
• Original med koordinater
Tekstfiler
• Deteksjon
• Observasjon
• Koordinater
• Logg
Lysstyrke

Loten (LOT) cam2


gnomonic
Videoer
• Gnomonisk
• Gnomonisk med koordinater
• Original
• Original med koordinater
Bilder
• Gnomonisk
• Gnomonisk med koordinater
• Original
• Original med koordinater
Tekstfiler
• Deteksjon
• Observasjon
• Koordinater
• Logg
Lysstyrke