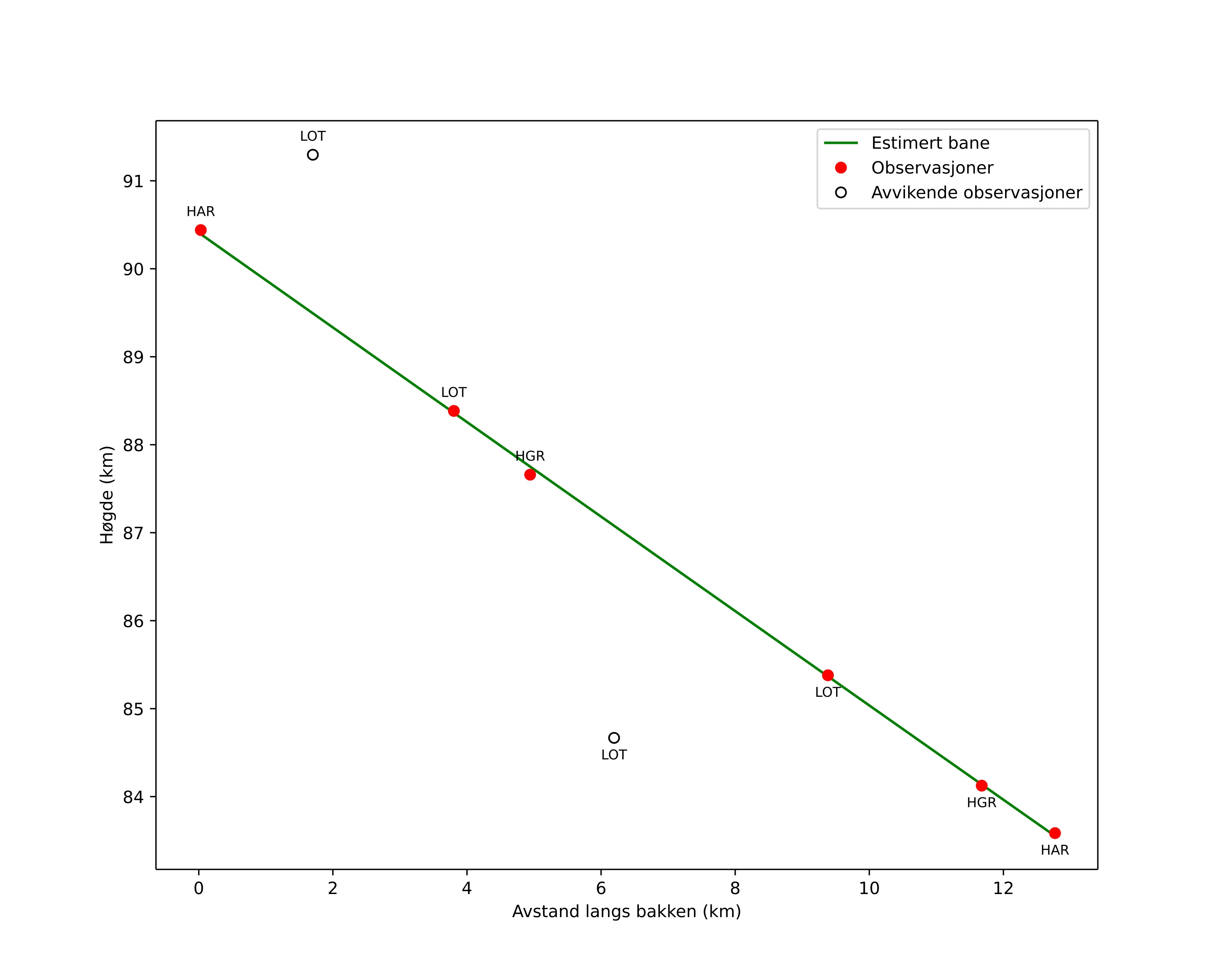
Atmosférická dráha meteoru:
| Počátečnà výška: | 92,1 km |
| Konečná výška: | 83,8 km |
| Počátečnà poloha: | 61,483N 9,956E |
| Konečná poloha: | 61,491N 9,653E |
| Směr: | 273,4° |
| Sklon: | 27,2° |
| VstupnĂ rychlost: | 15,2 km/s |
| Rektascenze radiantu: | 02:30 (37,7°) |
| Deklinace radiantu: | 10,5° |
| MeteorickĂ˝ roj: | sporadickĂ˝ |
|
Elementy dráhy meteoroidu:
| Vzdálenost v periheliu: | 0,827 AU |
| Excentricita: | 0,406 |
| Sklon dráhy: | 1,3° |
| Délka vzestupného uzlu: | 52,3° |
| Argument perihelia: | 64,4° |
| Střednà anomálie: | 331,7° |
| Epocha: | 2025 NOV 14 16:55:28 |
|